一小部分矩阵论的整理复习,这个由于公式输入的太麻烦了,所以就弄了一点。后面直接看着书复习的。
矩阵论复习
- 线性空间
- 基与维数
- 基变换公式、过渡矩阵、坐标变换公式
- 线性子空间
- 齐次方程组的解空间
- 特征子空间
- 生成子空间
- 交空间
- 和空间
- 维数定理
- 直和
- 线性映射
- 线性变换
- 数乘变换、恒等变换、零变换
- 线性变换的数量乘积、线性变换的和
- 线性变换的加法与数乘的性质
- 线性变换的表示矩阵
- 欧氏空间
- 欧式空间实例:
- 基的度量矩阵(基的Gram矩阵)
- 基的度量矩阵的性质
- 两组基的度量矩阵的关系
- 酉空间
- 酉空间中向量的标准内积
- Hermite矩阵
- 共轭转置阵的性质
- 酉空间基的度量矩阵的性质
- 酉空间两组基的度量矩阵的关系
- 内积空间的度量
- 向量长度的性质
- 向量组正交
- 正交基
- Gram-Schmidt正交化
线性空间
设F是一数域,V是一非空集合,如果对于任意两个元素a、b属于V,总有唯一的一个元素c属于V与之对应,称c为a与b的和,记为c=a+b。
又对于任一数k属于F及任一元素a属于 V,有唯一的一个元素b属于V与之对应,称b为k与a的数乘,记为b=ka。
上述情况称V对加法和数乘运算封闭。
并且这两种运算满足以下8条规则:(设a、b、c属于V;k、l属于F)
a+b=b+a
(a+b)+c=a+(b+c)
a+o=a (假定o是零元素)
a+(-a)=o
1a=a
k(la)=(kl)a
k(a+b)=ka+kb
(k+l)a=ka+la
那么称V为数域F上的线性空间,记为V(F)。
基与维数
线性空间V(F)中的向量组x1、x2……xn称为V(F)的基或基向量组,如果它满足:
1.x1、x2……xn线性无关
2.V(F)中任意向量皆可写成x1、x2……xn的线性组合。
V(F)的维数:基向量组里面向量的个数n,称为dimV(F)=n。也称为n维向量空间。
例子:设正实数集
R+={a∣a>0,a∈R}R^{+}=\{a|a>0,a\in R \} R+={a∣a>0,a∈R}
定义加法与数乘运算分别为:
a+b=ab,∀a,b∈R+ka=ak,k∈Ra+b=ab ,\forall a,b\in R^{+}\\ ka=a^{k},k\in R a+b=ab,∀a,b∈R+ka=ak,k∈R
证明R+是实数域R上的线性空间,并求R+的基和维数。
1.R+在如此定义的加法与数乘运算保持封闭,再验证运算满足8条规则:
任意a、b、c属于R+,任意k、l属于R:
a+b=ab=ba=b+a
(a+b)+c=ab+c=abc=a+bc=a+(b+c)
a+1=a,1为R+的零元素。
a+1/a=1,1/a为R+的负元素。
1a=a^1=a
后面三条也满足
k(la)=(kl)a
k(a+b)=ka+kb
(k+l)a=ka+la
所以可见R+构成实数域R上的线性空间。
现在求R+的基和维数。
由a+1=a,知1为R+的零元素。
∀a≠1,a∈R+,∀b∈R+b=alogab=(logab)a\forall a \not=1,a\in R^{+},\forall b \in R^{+} \\ b=a^{log_{a}b}=(log_{a}b)a ∀a=1,a∈R+,∀b∈R+b=alogab=(logab)a
说明任一元素b均可表成非零元素a的线性组合,任何非零元素a均为R+的基,dimR+=1
基变换公式、过渡矩阵、坐标变换公式
设:
α1,α2,...,αnβ1,β2,...,βn\alpha_{1},\alpha_{2},...,\alpha_{n} \\ \beta_{1},\beta_{2},...,\beta_{n} α1,α2,...,αnβ1,β2,...,βn
是线性空间两个基,且:
β1=p11α1+p21α2+...+pn1αnβ2=p12α1+p22α2+...+pn2αn…………βn=p1nα1+p2nα2+...+pnnαn(1)\beta_{1}=p_{11}\alpha_{1}+p_{21}\alpha_{2}+...+p_{n1}\alpha_{n}\\ \beta_{2}=p_{12}\alpha_{1}+p_{22}\alpha_{2}+...+p_{n2}\alpha_{n}\\ …………\\ \beta_{n}=p_{1n}\alpha_{1}+p_{2n}\alpha_{2}+...+p_{nn}\alpha_{n}\\\tag{1} β1=p11α1+p21α2+...+pn1αnβ2=p12α1+p22α2+...+pn2αn…………βn=p1nα1+p2nα2+...+pnnαn(1)
可以表示成:
(β1,β2,…,βn)=(α1,α2,…,αn)P(2)(\beta_{1},\beta_{2},…,\beta_{n})=(\alpha_{1},\alpha_{2},…,\alpha_{n})P \tag{2} (β1,β2,…,βn)=(α1,α2,…,αn)P(2)
P=(Pij)n×n=[p11p12...p1np21p22...p2n⋮⋮⋱⋮pn1pn2...pnn](3)P=(P_{ij})_{n \times n}=\begin{bmatrix} p_{11}&p_{12}&...&p_{1n} \\ p_{21}&p_{22}&...&p_{2n} \\\vdots&\vdots&\ddots&\vdots \\p_{n1}&p_{n2}&...&p_{nn} \end{bmatrix}\tag{3} P=(Pij)n×n=⎣⎢⎢⎢⎡p11p21⋮pn1p12p22⋮pn2......⋱...p1np2n⋮pnn⎦⎥⎥⎥⎤(3)
上式1中系数pij横排竖放构成P,如式3。
式2为基变换公式。
P为由基α到基β的过渡矩阵。
坐标变换公式:x1…xn是元素r在基α下的坐标,y1…yn是元素r在基β下的坐标
[x1x2⋮xn]=P[y1y2⋮yn]\begin{bmatrix}x_{1}\\ x_{2}\\ \vdots\\ x_{n}\\ \end{bmatrix} =P\begin{bmatrix}y_{1}\\ y_{2}\\ \vdots\\ y_{n}\\ \end{bmatrix} ⎣⎢⎢⎢⎡x1x2⋮xn⎦⎥⎥⎥⎤=P⎣⎢⎢⎢⎡y1y2⋮yn⎦⎥⎥⎥⎤
[y1y2⋮yn]=P−1[x1x2⋮xn]\begin{bmatrix}y_{1}\\ y_{2}\\ \vdots\\ y_{n}\\ \end{bmatrix} =P^{-1}\begin{bmatrix}x_{1}\\ x_{2}\\ \vdots\\ x_{n}\\ \end{bmatrix} ⎣⎢⎢⎢⎡y1y2⋮yn⎦⎥⎥⎥⎤=P−1⎣⎢⎢⎢⎡x1x2⋮xn⎦⎥⎥⎥⎤
线性子空间
设V1是数域F上的线性空间V的一个非空子集,且对V中线性运算满足:
∀α,β∈V1,有α+β∈V1∀α∈V1,∀k∈F,有kα∈V1\forall \alpha,\beta\in V_{1},有\alpha+\beta\in V_{1} \\ \forall \alpha\in V_{1},\forall k\in F,有k\alpha\in V_{1} ∀α,β∈V1,有α+β∈V1∀α∈V1,∀k∈F,有kα∈V1
称V1为V的线性子空间。
dimV1≤dimVdimV_{1}\leq dimV dimV1≤dimV
齐次方程组的解空间
n元齐次线性方程组Ax=0接的集合构成线性空间,称为解空间,记为N(A),他是Rn的子空间,若rankA=r,dimN(A)=n-r。
特征子空间
设A属于Rn*n,Av=λv,A的属于特征值λ的 所有特征向量加上零向量构成Rn的子空间,称为特征子空间。
生成子空间
V(F)的一组向量:
α1,α2,…,αm\alpha_{1},\alpha_{2},…,\alpha_{m} α1,α2,…,αm
令:
V1=k1α1+...+kiαi+...+kmαmk∈F,i=1,2,...,mV_{1}={k_{1}\alpha_{1}+...+k_{i}\alpha_{i}+...+k_{m}\alpha_{m}}\\ k\in F,i=1,2,...,m V1=k1α1+...+kiαi+...+kmαmk∈F,i=1,2,...,m
V1表示由
α1,α2,…,αm\alpha_{1},\alpha_{2},…,\alpha_{m} α1,α2,…,αm
生成子空间。
记为:
V1=span(α1,α2,…,αm)V_{1}=span(\alpha_{1},\alpha_{2},…,\alpha_{m}) V1=span(α1,α2,…,αm)
注:这里没有要求α1到αm线性无关。
生成子空间的维数等于向量组的秩。
dimspan(α1,α2,…,αm)=rank(α1,α2,…,αm)dimspan(\alpha_{1},\alpha_{2},…,\alpha_{m})=rank(\alpha_{1},\alpha_{2},…,\alpha_{m}) dimspan(α1,α2,…,αm)=rank(α1,α2,…,αm)
交空间
设V1,V2是V(F)的两个子空间,称:
V1∩V2=α,α∈V1,α∈V2V_{1}\cap V_{2}=\alpha,\alpha \in V_{1},\alpha \in V_{2} V1∩V2=α,α∈V1,α∈V2
为V1,V2的交空间。子空间的交空间仍是子空间。
和空间
设V1,V2是V(F)的两个子空间,称:
V1+V2=α,α=α1+α2,α1∈V1,α2∈V2V_{1}+ V_{2}=\alpha,\alpha=\alpha_{1}+\alpha_{2},\alpha_{1} \in V_{1},\alpha_{2} \in V_{2} V1+V2=α,α=α1+α2,α1∈V1,α2∈V2
为V1,V2的和空间。子空间的和空间仍是子空间。
维数定理
设V1,V2是V(F)的两个子空间
dimV1+dimV2=dim(V1+V2)+dim(V1∩V2)dimV_{1}+dimV_{2}=dim(V_{1}+V_{2})+dim(V_{1}\cap V_{2}) dimV1+dimV2=dim(V1+V2)+dim(V1∩V2)
直和
设V1,V2是V(F)的两个子空间,若
V1∩V2=0V_{1}\cap V_{2}= {0} V1∩V2=0
则称他们的和为直和,记为
V1⊕V2V_{1}\oplus V_{2} V1⊕V2
并且V1+V2是直和等价于以下命题:
α∈V1+V2表达式唯一\alpha \in V_{1}+V_{2}表达式唯一 α∈V1+V2表达式唯一
若α1,α2,…,αr是V1的基,β1,β2,…,βs是V2的基,则α1,α2,…,αr,β1,β2,…,βs是V1+V2的基。若\alpha_{1},\alpha_{2},…,\alpha_{r} 是V_{1}的基,\beta_{1},\beta_{2},…,\beta_{s}是V_{2}的基,\\则\alpha_{1},\alpha_{2},…,\alpha_{r},\beta_{1},\beta_{2},…,\beta_{s}是V_{1}+V_{2}的基。 若α1,α2,…,αr是V1的基,β1,β2,…,βs是V2的基,则α1,α2,…,αr,β1,β2,…,βs是V1+V2的基。
dimV1+dimV2=dim(V1+V2)dimV_{1}+dimV_{2}=dim(V_{1}+V_{2}) dimV1+dimV2=dim(V1+V2)
线性映射
设S和T是任意两个非空集合,如果存在某个对应关系,使任意s属于S,在T中存在唯一的元素t与s相对应,则称此对应关系是S到T的一个映射。它满足:S中任一元素都有像,像必在T中,像唯一。
σ:s→t,或σ(s)=t称t为s在σ之下的像,s为t在σ之下的一个原像\sigma :s \rightarrow t,或\sigma(s)=t\\ 称t为s在\sigma之下的像,s为t在\sigma之下的一个原像 σ:s→t,或σ(s)=t称t为s在σ之下的像,s为t在σ之下的一个原像
若S到T的映射满足:
∀s1,s2∈S,有σ(s1+s2)=σ(s1)+σ(s1)∀s∈S,∀k∈F,有σ(ks)=kσ(s)\forall s_{1},s_{2} \in S,有\sigma(s_{1}+s_{2})=\sigma(s_{1})+\sigma(s_{1})\\ \forall s \in S,\forall k \in F,有\sigma(ks)=k\sigma(s) ∀s1,s2∈S,有σ(s1+s2)=σ(s1)+σ(s1)∀s∈S,∀k∈F,有σ(ks)=kσ(s)
称σ是从S到T的线性映射。
线性变换
线性空间V(F)到自身的线性映射称为V(F)中的线性变换,记为
A\mathscr{A} A
若A1,A2都是Vn(F)中的线性变换,∀α∈Vn(F),A1(a)=A2(a)说明A1,A2相等,记为A1=A2易见A1=A2的充要条件为:A1(εi)=A2(εi),i=1,2,...,n其中ε1,...,εi,...,εn为Vn(F)的基若\mathscr{A}_{1},\mathscr{A}_{2}都是V_{n}(F)中的线性变换,\forall \alpha \in V_{n}(F),\mathscr{A}_{1}(a)=\mathscr{A}_{2}(a)\\ 说明\mathscr{A}_{1},\mathscr{A}_{2}相等,记为\mathscr{A}_{1}=\mathscr{A}_{2}\\ 易见\mathscr{A}_{1}=\mathscr{A}_{2}的充要条件为:\mathscr{A}_{1}(\varepsilon_{i})=\mathscr{A}_{2}(\varepsilon_{i}),i=1,2,...,n\\ 其中\varepsilon_{1},...,\varepsilon_{i},...,\varepsilon_{n}为V_{n}(F)的基 若A1,A2都是Vn(F)中的线性变换,∀α∈Vn(F),A1(a)=A2(a)说明A1,A2相等,记为A1=A2易见A1=A2的充要条件为:A1(εi)=A2(εi),i=1,2,...,n其中ε1,...,εi,...,εn为Vn(F)的基
数乘变换、恒等变换、零变换
∀k∈F,∀α∈Vn(F),定义A(a)=ka,称A为由数所决定的数乘变换,几何上表示A(a)与a共线。k=1,称为恒等变换,记为C,即C(a)=ak=0,称为零变换,记为O,即O(a)=0\forall k \in F,\forall \alpha \in V_{n}(F),定义\mathscr{A}(a)=ka,\\ 称\mathscr{A}为由数所决定的数乘变换,几何上表示\mathscr{A}(a)与a共线。\\ k=1,称为恒等变换,记为\mathscr{C},即\mathscr{C}(a)=a\\ k=0,称为零变换,记为\mathscr{O},即\mathscr{O}(a)=0 ∀k∈F,∀α∈Vn(F),定义A(a)=ka,称A为由数所决定的数乘变换,几何上表示A(a)与a共线。k=1,称为恒等变换,记为C,即C(a)=ak=0,称为零变换,记为O,即O(a)=0
线性变换的数量乘积、线性变换的和
∀k∈F,∀α∈Vn(F),定义(A1+A2)(a)=A1(a)+A2(a),称A1+A2为线性变换A1与A2的和定义(kA)(a)=kA(a)称kA为k与线性变换A的数量乘积记(−1)A=−A,称−A是A的负变换,显然−A+A=O定义(A1A2)(a)=A1(A2(a)),称A1A2为线性变换A1与A2的乘积\forall k \in F,\forall \alpha \in V_{n}(F),定义(\mathscr{A}_{1}+\mathscr{A}_{2})(a)=\mathscr{A}_{1}(a)+\mathscr{A}_{2}(a),\\ 称\mathscr{A}_{1}+\mathscr{A}_{2}为线性变换\mathscr{A}_{1}与\mathscr{A}_{2}的和\\ \\ 定义(k\mathscr{A})(a)=k\mathscr{A}(a)\\ 称k\mathscr{A}为k与线性变换\mathscr{A}的数量乘积\\ 记(-1)\mathscr{A}=-\mathscr{A},称-\mathscr{A}是\mathscr{A}的负变换,显然-\mathscr{A}+\mathscr{A}=\mathscr{O}\\ \\ 定义(\mathscr{A}_{1}\mathscr{A}_{2})(a)=\mathscr{A}_{1}(\mathscr{A}_{2}(a)),称\mathscr{A}_{1}\mathscr{A}_{2}为线性变换\mathscr{A}_{1}与\mathscr{A}_{2}的乘积 ∀k∈F,∀α∈Vn(F),定义(A1+A2)(a)=A1(a)+A2(a),称A1+A2为线性变换A1与A2的和定义(kA)(a)=kA(a)称kA为k与线性变换A的数量乘积记(−1)A=−A,称−A是A的负变换,显然−A+A=O定义(A1A2)(a)=A1(A2(a)),称A1A2为线性变换A1与A2的乘积
线性变换的加法与数乘的性质
交换律:A1+A2=A2+A1结合律:(A1+A2)+A3=A1+(A2+A3)零元素:A+O=A负元素:A+(−A)=01数乘:1A=A数结合:k(lA)=(kl)A分配律:(k+l)A=kA+lA分配律:k(A1+A2)=kA1+kA2Vn(F)上的所有线性变换的集合构成一个线性空间,记为End(V)交换律:\mathscr{A}_{1}+\mathscr{A}_{2}=\mathscr{A}_{2}+\mathscr{A}_{1}\\ 结合律:(\mathscr{A}_{1}+\mathscr{A}_{2})+\mathscr{A}_{3}=\mathscr{A}_{1}+(\mathscr{A}_{2}+\mathscr{A}_{3})\\ 零元素:\mathscr{A}+\mathscr{O}=\mathscr{A}\\ 负元素:\mathscr{A}+(-\mathscr{A})=0\\ 1数乘:1\mathscr{A}=\mathscr{A}\\ 数结合:k(l\mathscr{A})=(kl)\mathscr{A}\\ 分配律:(k+l)\mathscr{A}=k\mathscr{A}+l\mathscr{A}\\ 分配律:k(\mathscr{A}_{1}+\mathscr{A}_{2})=k\mathscr{A}_{1}+k\mathscr{A}_{2}\\ V_{n}(F)上的所有线性变换的集合构成一个线性空间,记为End(V) 交换律:A1+A2=A2+A1结合律:(A1+A2)+A3=A1+(A2+A3)零元素:A+O=A负元素:A+(−A)=01数乘:1A=A数结合:k(lA)=(kl)A分配律:(k+l)A=kA+lA分配律:k(A1+A2)=kA1+kA2Vn(F)上的所有线性变换的集合构成一个线性空间,记为End(V)
线性变换的表示矩阵
设A是Vn(F)上的线性变换,ε1,ε2,...,εn是Vn(F)的基,于是A(ε1),A(ε1),...,A(εn)可由基ε1,ε2,...,εn线性表示,且表示法唯一。设:A(ε1)=a11ε1+a21ε2+...+an1εnA(ε2)=a12ε1+a22ε2+...+an2εn......A(εn)=a1nε1+a2nε2+...+annεn令A=(aij)n×n,称A为线性变换A在基ε1,ε2,...,εn下的表示矩阵线性变换A可唯一确定方阵A,给定一个方阵A,在基ε1,ε2,...,εn下可唯一确定一个线性变换A设\mathscr{A}是V_{n}(F)上的线性变换,\varepsilon_{1},\varepsilon_{2},...,\varepsilon_{n}是V_{n}(F)的基,\\ 于是\mathscr{A}(\varepsilon_{1}),\mathscr{A}(\varepsilon_{1}),...,\mathscr{A}(\varepsilon_{n})可由基\varepsilon_{1},\varepsilon_{2},...,\varepsilon_{n}线性表示,且表示法唯一。设:\\ \mathscr{A}(\varepsilon_{1})=a_{11}\varepsilon_{1}+a_{21}\varepsilon_{2}+...+a_{n1}\varepsilon_{n}\\ \mathscr{A}(\varepsilon_{2})=a_{12}\varepsilon_{1}+a_{22}\varepsilon_{2}+...+a_{n2}\varepsilon_{n}\\ ......\\ \mathscr{A}(\varepsilon_{n})=a_{1n}\varepsilon_{1}+a_{2n}\varepsilon_{2}+...+a_{nn}\varepsilon_{n}\\ 令A=(a_{ij})_{n\times n},称A为线性变换\mathscr{A}在基\varepsilon_{1},\varepsilon_{2},...,\varepsilon_{n}下的表示矩阵\\ 线性变换\mathscr{A}可唯一确定方阵A,给定一个方阵A,在基\varepsilon_{1},\varepsilon_{2},...,\varepsilon_{n}下可唯一确定一个线性变换\mathscr{A} 设A是Vn(F)上的线性变换,ε1,ε2,...,εn是Vn(F)的基,于是A(ε1),A(ε1),...,A(εn)可由基ε1,ε2,...,εn线性表示,且表示法唯一。设:A(ε1)=a11ε1+a21ε2+...+an1εnA(ε2)=a12ε1+a22ε2+...+an2εn......A(εn)=a1nε1+a2nε2+...+annεn令A=(aij)n×n,称A为线性变换A在基ε1,ε2,...,εn下的表示矩阵线性变换A可唯一确定方阵A,给定一个方阵A,在基ε1,ε2,...,εn下可唯一确定一个线性变换A
欧氏空间
设V是实数域R上的n维线性空间,对任给的α,β∈V,按某种法则对应着一个实数,记为(α,β),如果满足下面四个条件:交换律:(α,β)=(β,α)齐次性:(kα,β)=k(α,β),k为任意实数分配律:(α+β,γ)=(α,γ)+(β,γ),γ∈V非负性:(α,α)≥0;(α,α)=0,当且仅当α=θ则称实数(α,β)为定义在V上的内积,定义了这样内积的n维线性空间V为:n维欧几里得空间,简称欧式空间,记为Vn(R,E)设V是实数域R上的n维线性空间, 对任给的\alpha,\beta \in V,按某种法则对应着一个实数,记为(\alpha,\beta),\\ 如果满足下面四个条件:\\ 交换律:(\alpha,\beta)=(\beta,\alpha)\\ 齐次性:(k\alpha,\beta)=k(\alpha,\beta),k为任意实数\\ 分配律:(\alpha+\beta,\gamma)=(\alpha,\gamma)+(\beta,\gamma),\gamma \in V\\ 非负性:(\alpha,\alpha)\geq0;(\alpha,\alpha)=0,当且仅当\alpha=\theta\\ 则称实数(\alpha,\beta)为定义在V上的内积, 定义了这样内积的n维线性空间V为:\\ n维欧几里得空间,简称欧式空间,记为V_{n}(R,E) 设V是实数域R上的n维线性空间,对任给的α,β∈V,按某种法则对应着一个实数,记为(α,β),如果满足下面四个条件:交换律:(α,β)=(β,α)齐次性:(kα,β)=k(α,β),k为任意实数分配律:(α+β,γ)=(α,γ)+(β,γ),γ∈V非负性:(α,α)≥0;(α,α)=0,当且仅当α=θ则称实数(α,β)为定义在V上的内积,定义了这样内积的n维线性空间V为:n维欧几里得空间,简称欧式空间,记为Vn(R,E)
欧式空间实例:
在n维线性空间Rn中,∀α=(a1,a2,…,an)T,∀β=(b1,b2,…,bn)T,若规定:(α,β)=αTβ=βTα=∑i=1naibi则它满足上面那四个条件,因此这个式子所定义的内积为Rn中向量的标准内积。在n维线性空间R^{n}中,\forall\alpha=(a_{1},a_{2},…,a_{n})^{T},\forall\beta=(b_{1},b_{2},…,b_{n})^{T},\\ 若规定:(\alpha,\beta)=\alpha^{T}\beta=\beta^{T}\alpha=\sum_{i = 1}^{n}a_ib_i\\ 则它满足上面那四个条件,因此这个式子所定义的内积为R^n中向量的标准内积。 在n维线性空间Rn中,∀α=(a1,a2,…,an)T,∀β=(b1,b2,…,bn)T,若规定:(α,β)=αTβ=βTα=i=1∑naibi则它满足上面那四个条件,因此这个式子所定义的内积为Rn中向量的标准内积。
基的度量矩阵(基的Gram矩阵)
设V是n维欧式空间,ε1,ε2,...,εn是它的一个基,令gij=(εi,εj),G=(gij),则称G为基ε1,ε2,...,εn的度量矩阵,也称为基的Gram矩阵设V是n维欧式空间,\varepsilon_{1},\varepsilon_{2},...,\varepsilon_{n}是它的一个基,\\ 令g_{ij}=(\varepsilon_{i},\varepsilon_{j}),G=(g_{ij}),\\ 则称G为基\varepsilon_{1},\varepsilon_{2},...,\varepsilon_{n}的度量矩阵,也称为基的Gram矩阵 设V是n维欧式空间,ε1,ε2,...,εn是它的一个基,令gij=(εi,εj),G=(gij),则称G为基ε1,ε2,...,εn的度量矩阵,也称为基的Gram矩阵
基的度量矩阵的性质
设A为n维欧式空间V的基ε1,ε2,...,εn的度量矩阵,则AT=A,即A是实对称矩阵∀α,β∈V;α,β在基ε1,ε2,...,εn下的坐标分别为:x=(x1,...,xi,…,xn)T,y=(y1,...,yi,…,yn)T则(α,β)=xTAyθ≠∀α∈V,α=(ε1,ε2,...,εn)x,必有xTAx>0即A是正定矩阵设A为n维欧式空间V的基\varepsilon_{1},\varepsilon_{2},...,\varepsilon_{n}的度量矩阵,则\\ A^T=A,即A是实对称矩阵\\ \forall\alpha,\beta\in V;\alpha,\beta在基\varepsilon_{1},\varepsilon_{2},...,\varepsilon_{n}下的坐标分别为:\\ x=(x_{1},...,x_{i},…,x_{n})^{T},y=(y_{1},...,y_{i},…,y_{n})^{T}\\ 则(\alpha,\beta)=x^TAy\\ \theta\not=\forall\alpha\in V,\alpha=(\varepsilon_{1},\varepsilon_{2},...,\varepsilon_{n})x,必有x^TAx>0\\ 即A是正定矩阵 设A为n维欧式空间V的基ε1,ε2,...,εn的度量矩阵,则AT=A,即A是实对称矩阵∀α,β∈V;α,β在基ε1,ε2,...,εn下的坐标分别为:x=(x1,...,xi,…,xn)T,y=(y1,...,yi,…,yn)T则(α,β)=xTAyθ=∀α∈V,α=(ε1,ε2,...,εn)x,必有xTAx>0即A是正定矩阵
这意味着,欧氏空间中广义的向量的内积,可通过它们在基下的坐标及其度量矩阵的双线性函数来计算。
两组基的度量矩阵的关系
设ε1,ε2,...,εn;η1,η2,...,ηn为n维欧式空间两个基,他们的度量矩阵分别为A,B.C是ε1,ε2,...,εn到η1,η2,...,ηn的过渡矩阵,则:B=CTAC设\varepsilon_{1},\varepsilon_{2},...,\varepsilon_{n};\eta_1,\eta_2,...,\eta_n为n维欧式空间两个基,\\ 他们的度量矩阵分别为A,B.\\ C是\varepsilon_{1},\varepsilon_{2},...,\varepsilon_{n}到\eta_1,\eta_2,...,\eta_n的过渡矩阵,则:\\ B=C^TAC 设ε1,ε2,...,εn;η1,η2,...,ηn为n维欧式空间两个基,他们的度量矩阵分别为A,B.C是ε1,ε2,...,εn到η1,η2,...,ηn的过渡矩阵,则:B=CTAC
这说明,欧氏空间中不同基的度量矩阵是相合矩阵
酉空间
设V是复数域C上的n维线性空间,对任给的α,β∈V,按某种法则对应着一个复数,记为(α,β),如果满足下面四个条件:共轭交换律:(α,β)=(α,β)‾共轭齐次性:(kα,β)=kˉ(α,β)分配律:(α+β,γ)=(α,γ)+(β,γ),γ∈V非负性:(α,α)≥0;(α,α)=0,当且仅当α=θ则称复数(α,β)为定义在V上的内积,定义了这样内积的n维线性空间为n维酉空间,记为Vn(C,U)设V是复数域C上的n维线性空间,对任给的\alpha,\beta \in V,\\ 按某种法则对应着一个复数,记为(\alpha,\beta),如果满足下面四个条件:\\ 共轭交换律:(\alpha,\beta)=\overline{(\alpha,\beta)}\\ 共轭齐次性:(k\alpha,\beta)=\bar k(\alpha,\beta)\\ 分配律:(\alpha+\beta, \gamma)=(\alpha,\gamma)+(\beta,\gamma),\gamma \in V\\ 非负性:(\alpha,\alpha)\geq0;(\alpha,\alpha)=0,当且仅当\alpha=\theta\\ 则称复数(\alpha,\beta)为定义在V上的内积,\\ 定义了这样内积的n维线性空间为n维酉空间,记为V_{n}(C,U) 设V是复数域C上的n维线性空间,对任给的α,β∈V,按某种法则对应着一个复数,记为(α,β),如果满足下面四个条件:共轭交换律:(α,β)=(α,β)共轭齐次性:(kα,β)=kˉ(α,β)分配律:(α+β,γ)=(α,γ)+(β,γ),γ∈V非负性:(α,α)≥0;(α,α)=0,当且仅当α=θ则称复数(α,β)为定义在V上的内积,定义了这样内积的n维线性空间为n维酉空间,记为Vn(C,U)
酉空间中向量的标准内积
在n维线性空间Cn中,∀α=(a1,...,ai,...,an)T,∀β=(b1,...,bi,...,bn)T,定义内积(α,β)=αHβ=∑i=1naˉibi其中αH=(aˉ1,...,aˉi,...,aˉn)T,则Cn构成一个酉空间,仍以Cn记之。上述定义的内积,称为酉空间Cn中向量的标准内积。在n维线性空间C^n中,\\ \forall \alpha=(a_1,...,a_i,...,a_n)^T,\forall \beta=(b_1,...,b_i,...,b_n)^T,\\ 定义内积(\alpha,\beta)=\alpha^H\beta=\sum_{i = 1}^{n}\bar a_ib_i\\ 其中\alpha^H=(\bar a_1,...,\bar a_i,...,\bar a_n)^T,则C^n构成一个酉空间,仍以C^n记之。\\ 上述定义的内积,称为酉空间C^n中向量的标准内积。 在n维线性空间Cn中,∀α=(a1,...,ai,...,an)T,∀β=(b1,...,bi,...,bn)T,定义内积(α,β)=αHβ=i=1∑naˉibi其中αH=(aˉ1,...,aˉi,...,aˉn)T,则Cn构成一个酉空间,仍以Cn记之。上述定义的内积,称为酉空间Cn中向量的标准内积。
Hermite矩阵
设A=Cm×n,Aˉ表示由A元素的共轭复数所组成的矩阵;令AH=(Aˉ)T,则称AH为A的共轭转置阵。特别若AH=A,则称A为Hermite矩阵;AH=−A,则称A为反Hermite矩阵Hermite矩阵与反Hermite矩阵是对称阵与反对称阵的推广。设A=C^{m\times n},\bar A表示由A元素的共轭复数所组成的矩阵;\\ 令A^H=(\bar A)^T,则称A^H为A的共轭转置阵。\\ 特别若A^H=A,则称A为Hermite矩阵;\\ A^H=-A,则称A为反Hermite矩阵\\ Hermite矩阵与反Hermite矩阵是对称阵与反对称阵的推广。 设A=Cm×n,Aˉ表示由A元素的共轭复数所组成的矩阵;令AH=(Aˉ)T,则称AH为A的共轭转置阵。特别若AH=A,则称A为Hermite矩阵;AH=−A,则称A为反Hermite矩阵Hermite矩阵与反Hermite矩阵是对称阵与反对称阵的推广。
共轭转置阵的性质
AH=AT‾(A+B)H=AH+BH(kA)H=kˉAH(AB)H=BHAH(AH)H=AA可逆时,(AH)−1=(A−1)HA^H=\overline {A^T}\\ (A+B)^H=A^H+B^H\\ (kA)^H=\bar kA^H\\ (AB)^H=B^HA^H\\ (A^H)^H=A\\ A可逆时,(A^H)^{-1}=(A^{-1})^H AH=AT(A+B)H=AH+BH(kA)H=kˉAH(AB)H=BHAH(AH)H=AA可逆时,(AH)−1=(A−1)H
酉空间基的度量矩阵的性质
设A为n维酉空间V的基ε1,ε2,...,εn的度量矩阵,则A=AH,即A是Hermite矩阵∀α,β∈V;α,β在基ε1,ε2,...,εn下的坐标分别为:x=(x1,...,xi,…,xn)T,y=(y1,...,yi,…,yn)T则(α,β)=xHAyθ≠∀α∈V,α=(ε1,ε2,...,εn)x,必有xHAx>0即A是正定矩阵设A为n维酉空间V的基\varepsilon_{1},\varepsilon_{2},...,\varepsilon_{n}的度量矩阵,则\\ A=A^H,即A是Hermite矩阵\\ \forall\alpha,\beta\in V;\alpha,\beta在基\varepsilon_{1},\varepsilon_{2},...,\varepsilon_{n}下的坐标分别为:\\ x=(x_{1},...,x_{i},…,x_{n})^{T},y=(y_{1},...,y_{i},…,y_{n})^{T}\\ 则(\alpha,\beta)=x^HAy\\ \theta\not=\forall\alpha\in V,\alpha=(\varepsilon_{1},\varepsilon_{2},...,\varepsilon_{n})x,必有x^HAx>0\\ 即A是正定矩阵 设A为n维酉空间V的基ε1,ε2,...,εn的度量矩阵,则A=AH,即A是Hermite矩阵∀α,β∈V;α,β在基ε1,ε2,...,εn下的坐标分别为:x=(x1,...,xi,…,xn)T,y=(y1,...,yi,…,yn)T则(α,β)=xHAyθ=∀α∈V,α=(ε1,ε2,...,εn)x,必有xHAx>0即A是正定矩阵
酉空间两组基的度量矩阵的关系
设ε1,ε2,...,εn;η1,η2,...,ηn为n维酉空间两个基,他们的度量矩阵分别为A,B.C是ε1,ε2,...,εn到η1,η2,...,ηn的过渡矩阵,则:B=CHAC设\varepsilon_{1},\varepsilon_{2},...,\varepsilon_{n};\eta_1,\eta_2,...,\eta_n为n维酉空间两个基,\\ 他们的度量矩阵分别为A,B.\\ C是\varepsilon_{1},\varepsilon_{2},...,\varepsilon_{n}到\eta_1,\eta_2,...,\eta_n的过渡矩阵,则:\\ B=C^HAC 设ε1,ε2,...,εn;η1,η2,...,ηn为n维酉空间两个基,他们的度量矩阵分别为A,B.C是ε1,ε2,...,εn到η1,η2,...,ηn的过渡矩阵,则:B=CHAC
内积空间的度量
设V是酉(欧式)空间,∀α∈V,α的长度定义为:∣∣α∣∣=(α,α)长度为1的向量称为单位向量,如果α≠θ,则α∣∣α∣∣是一个单位向量。∀α,β∈V,称∣∣α−β∣∣为α,β之间的距离,记为d(α,β)设V是酉(欧式)空间,\forall\alpha\in V,\alpha的长度定义为:\\ ||\alpha||=\sqrt{(\alpha,\alpha)}\\ 长度为1的向量称为单位向量,\\ 如果\alpha\not= \theta,则\frac{\alpha}{||\alpha||}是一个单位向量。\\ \forall\alpha,\beta\in V,称||\alpha-\beta||为\alpha,\beta之间的距离,记为d(\alpha,\beta)\\ 设V是酉(欧式)空间,∀α∈V,α的长度定义为:∣∣α∣∣=(α,α)长度为1的向量称为单位向量,如果α=θ,则∣∣α∣∣α是一个单位向量。∀α,β∈V,称∣∣α−β∣∣为α,β之间的距离,记为d(α,β)
向量长度的性质
设V是酉(欧式)空间,则向量的长度具有以下性质:∣∣α∣∣≥0,∣∣α∣∣=0时,α=θ∣∣kα∣∣=∣k∣∣∣α∣∣∣(α,β)∣≤∣∣α∣∣∣∣β∣∣,(Cauchy−Schwarz不等式)等号成立的充要条件是α,β线性相关∣∣α+β∣∣≤∣∣α∣∣+∣∣β∣∣,(三角不等式)设V是酉(欧式)空间,则向量的长度具有以下性质:\\ ||\alpha||\geq0,||\alpha||=0时,\alpha=\theta\\ ||k\alpha||=|k| ||\alpha||\\ |(\alpha,\beta)|\leq||\alpha||||\beta||,(Cauchy-Schwarz不等式)\\ 等号成立的充要条件是\alpha,\beta线性相关\\ ||\alpha+\beta||\leq||\alpha||+||\beta||,(三角不等式) 设V是酉(欧式)空间,则向量的长度具有以下性质:∣∣α∣∣≥0,∣∣α∣∣=0时,α=θ∣∣kα∣∣=∣k∣∣∣α∣∣∣(α,β)∣≤∣∣α∣∣∣∣β∣∣,(Cauchy−Schwarz不等式)等号成立的充要条件是α,β线性相关∣∣α+β∣∣≤∣∣α∣∣+∣∣β∣∣,(三角不等式)
向量组正交
设α,β为欧氏空间两个非零向量,他们之间夹角<α,β>定义为:<α,β>=arccos(α,β)∣∣α∣∣∣∣β∣∣,0≤<α,β>≤π对于酉空间两个非零向量,其夹角:cos2<α,β>=(α,β)(β,α)(α,α)(β,β)=∣(α,β)∣2(α,α)(β,β)设\alpha,\beta为欧氏空间两个非零向量,他们之间夹角<\alpha,\beta>定义为:\\ <\alpha,\beta>=arccos\frac{(\alpha,\beta)}{||\alpha||||\beta||},\\ 0\leq<\alpha,\beta>\leq \pi\\ 对于酉空间两个非零向量,其夹角:\\ cos^2<\alpha,\beta>=\frac{(\alpha,\beta)(\beta,\alpha)}{(\alpha,\alpha)(\beta,\beta)}=\frac{|(\alpha,\beta)|^2}{(\alpha,\alpha)(\beta,\beta)} 设α,β为欧氏空间两个非零向量,他们之间夹角<α,β>定义为:<α,β>=arccos∣∣α∣∣∣∣β∣∣(α,β),0≤<α,β>≤π对于酉空间两个非零向量,其夹角:cos2<α,β>=(α,α)(β,β)(α,β)(β,α)=(α,α)(β,β)∣(α,β)∣2
(α,β)=0时,称α与β正交。θ与所有向量正交(\alpha,\beta)=0时,称\alpha与\beta正交。\\ \theta与所有向量正交 (α,β)=0时,称α与β正交。θ与所有向量正交
α1,...,αi,...,αm是不含零向量的向量组,若他们两两正交,则说其为正交向量组。若正交向量组内每一个向量都是单位向量,则说该向量组是标准正交向量组。显然α1,...,αi,...,αm是标准正交向量组的充要条件是:(αi,αj)=δij={1,i=j0,i≠ji,j=1,2,...m正交向量组是线性无关向量组\alpha_1,...,\alpha_i,...,\alpha_m是不含零向量的向量组,若他们两两正交,则说其为正交向量组。\\ 若正交向量组内每一个向量都是单位向量,则说该向量组是标准正交向量组。\\ 显然\alpha_1,...,\alpha_i,...,\alpha_m是标准正交向量组的充要条件是:\\ (\alpha_i,\alpha_j)=\delta_{ij}= \begin{cases} 1,\quad i=j\\ 0, \quad i\not=j \end{cases}\quad i,j=1,2,...m\\ 正交向量组是线性无关向量组 α1,...,αi,...,αm是不含零向量的向量组,若他们两两正交,则说其为正交向量组。若正交向量组内每一个向量都是单位向量,则说该向量组是标准正交向量组。显然α1,...,αi,...,αm是标准正交向量组的充要条件是:(αi,αj)=δij={1,i=j0,i=ji,j=1,2,...m正交向量组是线性无关向量组
正交基
在n维空间中,由n个正交向量所组成的基为正交基,由n个标准正交向量所组成的基为标准正交基。α1,...,αi,...,αm是标准正交基充要条件是它的Gram矩阵,即它的度量矩阵是单位矩阵。对于酉(欧式)空间,总能从一组线性无关的极大组出发,由Gram−Schmidt正交化方法,构造一个标准正交基。在n维空间中,由n个正交向量所组成的基为正交基,\\ 由n个标准正交向量所组成的基为标准正交基。\\ \alpha_1,...,\alpha_i,...,\alpha_m是标准正交基充要条件是它的Gram矩阵,\\ 即它的度量矩阵是单位矩阵。\\ 对于酉(欧式)空间,总能从一组线性无关的极大组出发,\\ 由Gram-Schmidt正交化方法,构造一个标准正交基。 在n维空间中,由n个正交向量所组成的基为正交基,由n个标准正交向量所组成的基为标准正交基。α1,...,αi,...,αm是标准正交基充要条件是它的Gram矩阵,即它的度量矩阵是单位矩阵。对于酉(欧式)空间,总能从一组线性无关的极大组出发,由Gram−Schmidt正交化方法,构造一个标准正交基。
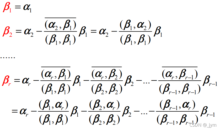
Gram-Schmidt正交化
设α1,...,αi,...,αr是线性无关的向量组Gram−Schmidt正交化过程:设\alpha_1,...,\alpha_i,...,\alpha_r是线性无关的向量组\\ Gram-Schmidt正交化过程:\\ 设α1,...,αi,...,αr是线性无关的向量组Gram−Schmidt正交化过程:
(1)正交化

(2)标准(单位)化
γ1=β1∣∣β1∣∣γ2=β2∣∣β2∣∣...γr=βr∣∣βr∣∣则γ1,γ2,...,γr为span(α1,α2,...,αr)一个标准正交基\gamma_1=\frac{\beta_1}{||\beta_1||}\\ \gamma_2=\frac{\beta_2}{||\beta_2||}\\ ...\\ \gamma_r=\frac{\beta_r}{||\beta_r||}\\ 则\gamma_1,\gamma_2,...,\gamma_r为span(\alpha_1,\alpha_2,...,\alpha_r)一个标准正交基 γ1=∣∣β1∣∣β1γ2=∣∣β2∣∣β2...γr=∣∣βr∣∣βr则γ1,γ2,...,γr为span(α1,α2,...,αr)一个标准正交基