3.6、训练与测试
本文来自开源组织 DataWhale 🐳 CV小组创作的目标检测入门教程。
对应开源项目 《动手学CV-Pytorch》 的第3章的内容,教程中涉及的代码也可以在项目中找到,后续会持续更新更多的优质内容,欢迎⭐️。
如果使用我们教程的内容或图片,请在文章醒目位置注明我们的github主页链接:https://github.com/datawhalechina/dive-into-cv-pytorch
3.6.1 模型训练
前面的章节,我们已经对目标检测训练的各个重要的知识点进行了讲解,下面我们需要将整个流程串起来,对模型进行训练。
目标检测网络的训练大致是如下的流程:
- 设置各种超参数
- 定义数据加载模块 dataloader
- 定义网络 model
- 定义损失函数 loss
- 定义优化器 optimizer
- 遍历训练数据,预测-计算loss-反向传播
首先,我们导入必要的库,然后设定各种超参数
import time
import torch.backends.cudnn as cudnn
import torch.optim
import torch.utils.data
from model import tiny_detector, MultiBoxLoss
from datasets import PascalVOCDataset
from utils import *device = torch.device("cuda" if torch.cuda.is_available() else "cpu")
cudnn.benchmark = True# Data parameters
data_folder = '../../../dataset/VOCdevkit' # data files root path
keep_difficult = True # use objects considered difficult to detect?
n_classes = len(label_map) # number of different types of objects# Learning parameters
total_epochs = 230 # number of epochs to train
batch_size = 32 # batch size
workers = 4 # number of workers for loading data in the DataLoader
print_freq = 100 # print training status every __ batches
lr = 1e-3 # learning rate
decay_lr_at = [150, 190] # decay learning rate after these many epochs
decay_lr_to = 0.1 # decay learning rate to this fraction of the existing learning rate
momentum = 0.9 # momentum
weight_decay = 5e-4 # weight decay
按照上面梳理的流程,编写训练代码如下:
def main():"""Training."""# Initialize model and optimizermodel = tiny_detector(n_classes=n_classes)criterion = MultiBoxLoss(priors_cxcy=model.priors_cxcy)optimizer = torch.optim.SGD(params=model.parameters(),lr=lr, momentum=momentum,weight_decay=weight_decay)# Move to default devicemodel = model.to(device)criterion = criterion.to(device)# Custom dataloaderstrain_dataset = PascalVOCDataset(data_folder,split='train',keep_difficult=keep_difficult)train_loader = torch.utils.data.DataLoader(train_dataset, batch_size=batch_size,shuffle=True,collate_fn=train_dataset.collate_fn, num_workers=workers,pin_memory=True) # Epochsfor epoch in range(total_epochs):# Decay learning rate at particular epochsif epoch in decay_lr_at:adjust_learning_rate(optimizer, decay_lr_to)# One epoch's training train(train_loader=train_loader,model=model,criterion=criterion,optimizer=optimizer,epoch=epoch)# Save checkpointsave_checkpoint(epoch, model, optimizer)
其中,我们对单个epoch的训练逻辑进行了封装,其具体实现如下:
def train(train_loader, model, criterion, optimizer, epoch):"""One epoch's training.:param train_loader: DataLoader for training data:param model: model:param criterion: MultiBox loss:param optimizer: optimizer:param epoch: epoch number"""model.train() # training mode enables dropoutbatch_time = AverageMeter() # forward prop. + back prop. timedata_time = AverageMeter() # data loading timelosses = AverageMeter() # lossstart = time.time()# Batchesfor i, (images, boxes, labels, _) in enumerate(train_loader):data_time.update(time.time() - start)# Move to default deviceimages = images.to(device) # (batch_size (N), 3, 224, 224)boxes = [b.to(device) for b in boxes]labels = [l.to(device) for l in labels]# Forward prop.predicted_locs, predicted_scores = model(images) # (N, 441, 4), (N, 441, n_classes)# Lossloss = criterion(predicted_locs, predicted_scores, boxes, labels) # scalar# Backward prop.optimizer.zero_grad()loss.backward()# Update modeloptimizer.step()losses.update(loss.item(), images.size(0))batch_time.update(time.time() - start)start = time.time()# Print statusif i % print_freq == 0:print('Epoch: [{0}][{1}/{2}]\t''Batch Time {batch_time.val:.3f} ({batch_time.avg:.3f})\t''Data Time {data_time.val:.3f} ({data_time.avg:.3f})\t''Loss {loss.val:.4f} ({loss.avg:.4f})\t'.format(epoch,i, len(train_loader),batch_time=batch_time,data_time=data_time, loss=losses))del predicted_locs, predicted_scores, images, boxes, labels # free some memory since their histories may be stored
完成了代码的编写后,我们就可以开始训练模型了,训练过程类似下图所示:
$ python train.py Loaded base model.Epoch: [0][0/518] Batch Time 6.556 (6.556) Data Time 3.879 (3.879) Loss 27.7129 (27.7129)
Epoch: [0][100/518] Batch Time 0.185 (0.516) Data Time 0.000 (0.306) Loss 6.1569 (8.4569)
Epoch: [0][200/518] Batch Time 1.251 (0.487) Data Time 1.065 (0.289) Loss 6.3175 (7.3364)
Epoch: [0][300/518] Batch Time 1.207 (0.476) Data Time 1.019 (0.282) Loss 5.6598 (6.9211)
Epoch: [0][400/518] Batch Time 1.174 (0.470) Data Time 0.988 (0.278) Loss 6.2519 (6.6751)
Epoch: [0][500/518] Batch Time 1.303 (0.468) Data Time 1.117 (0.276) Loss 5.4864 (6.4894)
Epoch: [1][0/518] Batch Time 1.061 (1.061) Data Time 0.871 (0.871) Loss 5.7480 (5.7480)
Epoch: [1][100/518] Batch Time 0.189 (0.227) Data Time 0.000 (0.037) Loss 5.8557 (5.6431)
Epoch: [1][200/518] Batch Time 0.188 (0.225) Data Time 0.000 (0.036) Loss 5.2024 (5.5586)
Epoch: [1][300/518] Batch Time 0.190 (0.225) Data Time 0.000 (0.036) Loss 5.5348 (5.4957)
Epoch: [1][400/518] Batch Time 0.188 (0.226) Data Time 0.000 (0.036) Loss 5.2623 (5.4442)
Epoch: [1][500/518] Batch Time 0.190 (0.225) Data Time 0.000 (0.035) Loss 5.3105 (5.3835)
Epoch: [2][0/518] Batch Time 1.156 (1.156) Data Time 0.967 (0.967) Loss 5.3755 (5.3755)
Epoch: [2][100/518] Batch Time 0.206 (0.232) Data Time 0.016 (0.042) Loss 5.6532 (5.1418)
Epoch: [2][200/518] Batch Time 0.197 (0.226) Data Time 0.007 (0.036) Loss 4.6704 (5.0717)
剩下的就是等待了~
3.6.2 后处理
3.6.2.1 目标框信息解码
之前我们的提到过,模型不是直接预测的目标框信息,而是预测的基于anchor的偏移,且经过了编码。因此后处理的第一步,就是对模型的回归头的输出进行解码,拿到真正意义上的目标框的预测结果。
后处理还需要做什么呢?由于我们预设了大量的先验框,因此预测时在目标周围会形成大量高度重合的检测框,而我们目标检测的结果只希望保留一个足够准确的预测框,所以就需要使用某些算法对检测框去重。这个去重算法叫做NMS,下面我们详细来讲一讲。
3.6.2.2 NMS非极大值抑制
NMS的大致算法步骤如下:
-
按照类别分组,依次遍历每个类别。
-
当前类别按分类置信度排序,并且设置一个最低置信度阈值如0.05,低于这个阈值的目标框直接舍弃。
-
当前概率最高的框作为候选框,其它所有与候选框的IOU高于一个阈值(自己设定,如0.5)的框认为需要被抑制,从剩余框数组中删除。
-
然后在剩余的框里寻找概率第二大的框,其它所有与第二大的框的IOU高于设定阈值的框被抑制。
-
依次类推重复这个过程,直至遍历完所有剩余框,所有没被抑制的框即为最终检测框。

3.6.2.3 代码实现:
整个后处理过程的代码实现位于model.py中tiny_detector类的detect_objects函数中
def detect_objects(self, predicted_locs, predicted_scores, min_score, max_overlap, top_k):""" Decipher the 441 locations and class scores (output of the tiny_detector) to detect objects.For each class, perform Non-Maximum Suppression (NMS) on boxes that are above a minimum threshold.:param predicted_locs: predicted locations/boxes w.r.t the 441 prior boxes, a tensor of dimensions (N, 441, 4):param predicted_scores: class scores for each of the encoded locations/boxes, a tensor of dimensions (N, 441, n_classes):param min_score: minimum threshold for a box to be considered a match for a certain class:param max_overlap: maximum overlap two boxes can have so that the one with the lower score is not suppressed via NMS:param top_k: if there are a lot of resulting detection across all classes, keep only the top 'k':return: detections (boxes, labels, and scores), lists of length batch_size"""batch_size = predicted_locs.size(0)n_priors = self.priors_cxcy.size(0)predicted_scores = F.softmax(predicted_scores, dim=2) # (N, 441, n_classes)# Lists to store final predicted boxes, labels, and scores for all images in batchall_images_boxes = list()all_images_labels = list()all_images_scores = list()assert n_priors == predicted_locs.size(1) == predicted_scores.size(1)for i in range(batch_size):# Decode object coordinates from the form we regressed predicted boxes todecoded_locs = cxcy_to_xy( gcxgcy_to_cxcy(predicted_locs[i], self.priors_cxcy)) # (441, 4), these are fractional pt. coordinates# Lists to store boxes and scores for this imageimage_boxes = list()image_labels = list()image_scores = list()max_scores, best_label = predicted_scores[i].max(dim=1) # (441)# Check for each classfor c in range(1, self.n_classes):# Keep only predicted boxes and scores where scores for this class are above the minimum scoreclass_scores = predicted_scores[i][:, c] # (441)score_above_min_score = class_scores > min_score # torch.uint8 (byte) tensor, for indexingn_above_min_score = score_above_min_score.sum().item()if n_above_min_score == 0:continueclass_scores = class_scores[score_above_min_score] # (n_qualified), n_min_score <= 441class_decoded_locs = decoded_locs[score_above_min_score] # (n_qualified, 4)# Sort predicted boxes and scores by scoresclass_scores, sort_ind = class_scores.sort(dim=0, descending=True) # (n_qualified), (n_min_score)class_decoded_locs = class_decoded_locs[sort_ind] # (n_min_score, 4)# Find the overlap between predicted boxesoverlap = find_jaccard_overlap(class_decoded_locs, class_decoded_locs) # (n_qualified, n_min_score)# Non-Maximum Suppression (NMS)# A torch.uint8 (byte) tensor to keep track of which predicted boxes to suppress# 1 implies suppress, 0 implies don't suppresssuppress = torch.zeros((n_above_min_score), dtype=torch.uint8).to(device) # (n_qualified)# Consider each box in order of decreasing scoresfor box in range(class_decoded_locs.size(0)):# If this box is already marked for suppressionif suppress[box] == 1:continue# Suppress boxes whose overlaps (with current box) are greater than maximum overlap# Find such boxes and update suppress indicessuppress = torch.max(suppress, (overlap[box] > max_overlap).to(torch.uint8))# The max operation retains previously suppressed boxes, like an 'OR' operation# Don't suppress this box, even though it has an overlap of 1 with itselfsuppress[box] = 0# Store only unsuppressed boxes for this classimage_boxes.append(class_decoded_locs[1 - suppress])image_labels.append(torch.LongTensor((1 - suppress).sum().item() * [c]).to(device))image_scores.append(class_scores[1 - suppress])# If no object in any class is found, store a placeholder for 'background'if len(image_boxes) == 0:image_boxes.append(torch.FloatTensor([[0., 0., 1., 1.]]).to(device))image_labels.append(torch.LongTensor([0]).to(device))image_scores.append(torch.FloatTensor([0.]).to(device))# Concatenate into single tensorsimage_boxes = torch.cat(image_boxes, dim=0) # (n_objects, 4)image_labels = torch.cat(image_labels, dim=0) # (n_objects)image_scores = torch.cat(image_scores, dim=0) # (n_objects)n_objects = image_scores.size(0)# Keep only the top k objectsif n_objects > top_k:image_scores, sort_ind = image_scores.sort(dim=0, descending=True)image_scores = image_scores[:top_k] # (top_k)image_boxes = image_boxes[sort_ind][:top_k] # (top_k, 4)image_labels = image_labels[sort_ind][:top_k] # (top_k)# Append to lists that store predicted boxes and scores for all imagesall_images_boxes.append(image_boxes)all_images_labels.append(image_labels)all_images_scores.append(image_scores)return all_images_boxes, all_images_labels, all_images_scores # lists of length batch_size
我们的后处理代码中NMS的部分着实有些绕,大家可以参考下Fast R-CNN中的NMS实现,更简洁清晰一些
# --------------------------------------------------------
# Fast R-CNN
# Copyright (c) 2015 Microsoft
# Licensed under The MIT License [see LICENSE for details]
# Written by Ross Girshick
# --------------------------------------------------------
import numpy as np
# dets: 检测的 boxes 及对应的 scores;
# thresh: 设定的阈值def nms(dets,thresh):# boxes 位置x1 = dets[:,0] y1 = dets[:,1] x2 = dets[:,2]y2 = dets[:,3]# boxes scoresscores = dets[:,4]areas = (x2-x1+1)*(y2-y1+1) # 各box的面积order = scores.argsort()[::-1] # 分类置信度排序keep = [] # 记录保留下的 boxeswhile order.size > 0:i = order[0] # score最大的box对应的 indexkeep.append(i) # 将本轮score最大的box的index保留\# 计算剩余 boxes 与当前 box 的重叠程度 IoUxx1 = np.maximum(x1[i],x1[order[1:]])yy1 = np.maximum(y1[i],y1[order[1:]])xx2 = np.minimum(x2[i],x2[order[1:]])yy2 = np.minimum(y2[i],y2[order[1:]])w = np.maximum(0.0,xx2-xx1+1) # IoUh = np.maximum(0.0,yy2-yy1+1)inter = w*hovr = inter/(areas[i]+areas[order[1:]]-inter)\# 保留 IoU 小于设定阈值的 boxesinds = np.where(ovr<=thresh)[0]order = order[inds+1]return keep
3.6.3 单图预测推理
当模型已经训练完成后,下面我们来看下如何对单张图片进行推理,得到目标检测结果。
首先我们需要导入必要的python包,然后加载训练好的模型权重。
随后我们需要定义预处理函数。为了达到最好的预测效果,测试环节的预处理方案需要和训练时保持一致,仅去除掉数据增强相关的变换即可。
因此,这里我们需要进行的预处理为:
- 将图片缩放为 224 * 224 的大小
- 转换为 Tensor 并除 255
- 进行减均值除方差的归一化
# Set detect transforms (It's important to be consistent with training)
resize = transforms.Resize((224, 224))
to_tensor = transforms.ToTensor()
normalize = transforms.Normalize(mean=[0.485, 0.456, 0.406],std=[0.229, 0.224, 0.225])
接着我们就来进行推理,过程很简单,核心流程可以概括为:
- 读取一张图片
- 预处理
- 模型预测
- 对模型预测进行后处理
核心代码如下:
# Transform the image
image = normalize(to_tensor(resize(original_image)))# Move to default device
image = image.to(device)# Forward prop.
predicted_locs, predicted_scores = model(image.unsqueeze(0))# Post process, get the final detect objects from our tiny detector output
det_boxes, det_labels, det_scores = model.detect_objects(predicted_locs, predicted_scores, min_score=min_score, max_overlap=max_overlap, top_k=top_k)
这里的detect_objects 函数完成模型预测结果的后处理,主要工作有两个,首先对模型的输出进行解码,得到代表具体位置信息的预测框,随后对所有预测框按类别进行NMS,来过滤掉一些多余的检测框,也就是我们上一小节介绍的内容。
最后,我们将最终得到的检测框结果进行绘制,得到类似如下图的检测结果:

完整代码见 detect.py 脚本,下面是更多的一些VOC测试集中图片的预测结果展示:





可以看到,我们的 tiny_detector 模型对于一些简单的测试图片检测效果还是不错的。一些更难的图片的预测效果如下:


可以看到,当面对一些稍微有挑战性的图片的时候,我们的检测器就开始暴露出各种个样的问题,包括但不限于:
- 漏框(右图有很多瓶子没有检测出来)
- 误检(右图误检了一个瓶子)
- 重复检测(左图的汽车和右图最前面的人)
- 定位不准,尤其是对小物体
不妨运行下 detect.py,赶快看看你训练的模型效果如何吧,你观察到了哪些问题,有没有什么优化思路呢?
3.6.4 VOC测试集评测
3.6.4.1 介绍map指标
以分类模型中最简单的二分类为例,对于这种问题,我们的模型最终需要判断样本的结果是0还是1,或者说是positive还是negative。我们通过样本的采集,能够直接知道真实情况下,哪些数据结果是positive,哪些结果是negative。同时,我们通过用样本数据跑出分类模型的结果,也可以知道模型认为这些数据哪些是positive,哪些是negative。因此,我们就能得到这样四个基础指标,称他们是一级指标(最底层的):
1)真实值是positive,模型认为是positive的数量(True Positive=TP)
2)真实值是positive,模型认为是negative的数量(False Negative = FN):这就是统计学上的第二类错误(Type II Error)
3)真实值是negative,模型认为是positive的数量(False Positive = FP):这就是统计学上的第一类错误(Type I Error)
4)真实值是negative,模型认为是negative的数量(True Negative = TN)
在机器学习领域,混淆矩阵(confusion matrix),又称为可能性表格或错误矩阵。它是一种特定的矩阵用来呈现算法性能的可视化效果,通常用于监督学习(非监督学习,通常用匹配矩阵:matching matrix)。其每一列代表预测值,每一行代表的是实际的类别。这个名字来源于它可以非常容易的表明多个类别是否有混淆(也就是一个class被预测成另一个class)。
Example 假设有一个用来对猫(cats)、狗(dogs)、兔子(rabbits)进行分类的系统,混淆矩阵就是为了进一步分析性能而对该算法测试结果做出的总结。假设总共有27只动物:8只猫、6条狗、13只兔子。结果的混淆矩阵如下表:

二级指标:混淆矩阵里面统计的是个数,有时候面对大量的数据,光凭算个数,很难衡量模型的优劣。因此混淆矩阵在基本的统计结果上又延伸了如下4个指标,我称他们是二级指标(通过最底层指标加减乘除得到的):
1)准确率(Accuracy)-----针对整个模型
2)精确率(Precision)
3)灵敏度(Sensitivity):就是召回率(Recall)
4)特异度(Specificity)
用表格的方式将这四种指标的定义、计算、理解进行汇总:

通过上面的四个二级指标,可以将混淆矩阵中数量的结果转化为0-1之间的比率。便于进行标准化的衡量。
三级指标:这个指标叫做F1 Score。他的计算公式是:
F1 Score = 2PR / P+R
其中,P代表Precision,R代表Recall(召回率)。F1-Score指标综合了Precision与Recall的产出的结果。F1-Score的取值范围从0到1,1代表模型的输出最好,0代表模型的输出结果最差。
AP指标即Average Precision 即平均精确度。
mAP即Mean Average Precision即平均AP值,是对多个验证集个体求平均AP值,作为object detection中衡量检测精度的指标。
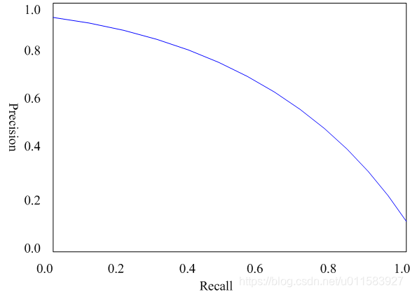
在目标检测场景如何计算AP呢,这里需要引出P-R曲线,即以precision和recall作为纵、横轴坐标的二维曲线。通过选取不同阈值时对应的精度和召回率画出,如下图所示:

P-R曲线的总体趋势是,精度越高,召回越低,当召回到达1时,对应概率分数最低的正样本,这个时候正样本数量除以所有大于等于该阈值的样本数量就是最低的精度值。 另外,P-R曲线围起来的面积就是AP值,通常来说一个越好的分类器,AP值越高。
总结:在目标检测中,每一类都可以根据recall和precision绘制P-R曲线,AP就是该曲线下的面积,mAP就是所有类的AP的平均值。(这里说的是VOC数据集的mAP指标的计算方法,COCO数据集的计算方法略有差异)
3.6.4.2 Tiny-Detection VOC测试集评测
运行 eval.py 脚本,评估模型在VOC2007测试集上的效果,结果如下:
python eval.py
$ python eval.py
...
...
Evaluating: 100%|███████████████████████████████| 78/78 [00:57<00:00, 1.35it/s]
{'aeroplane': 0.6086561679840088,'bicycle': 0.7144593596458435,'bird': 0.5847545862197876,'boat': 0.44902321696281433,'bottle': 0.2160634696483612,'bus': 0.7212041616439819,'car': 0.629608154296875,'cat': 0.8124480843544006,'chair': 0.3599272668361664,'cow': 0.5980824828147888,'diningtable': 0.6459739804267883,'dog': 0.7577021718025208,'horse': 0.7861635088920593,'motorbike': 0.702280580997467,'person': 0.5821948051452637,'pottedplant': 0.2793791592121124,'sheep': 0.5655995607376099,'sofa': 0.708049476146698,'train': 0.7575671672821045,'tvmonitor': 0.5641061663627625}Mean Average Precision (mAP): 0.602
可以看到,模型的mAP得分为60.2,比经典的YOLO网络的63.4的得分稍低,得分还是说的过去的~
同时,我们也可以观察到,某几个类别,例如bottle和pottedplant的检测效果是很差的,说明我们的模型对于小物体,较为密集的物体的检测是存在明显问题的。