文章目录
- 1. 题目
- 2. 解题
1. 题目
给你链表的头节点 head 和一个整数 k 。
交换 链表正数第 k 个节点和倒数第 k 个节点的值后,返回链表的头节点(链表 从 1 开始索引)。

示例 1:
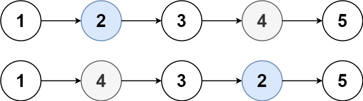
输入:head = [1,2,3,4,5], k = 2
输出:[1,4,3,2,5]示例 2:
输入:head = [7,9,6,6,7,8,3,0,9,5], k = 5
输出:[7,9,6,6,8,7,3,0,9,5]示例 3:
输入:head = [1], k = 1
输出:[1]示例 4:
输入:head = [1,2], k = 1
输出:[2,1]示例 5:
输入:head = [1,2,3], k = 2
输出:[1,2,3]提示:
链表中节点的数目是 n
1 <= k <= n <= 10^5
0 <= Node.val <= 100
https://leetcode-cn.com/problems/swapping-nodes-in-a-linked-list/
2. 解题
- 快慢指针,一个先走 K-1 步,快指针到达末端时,慢指针到达倒数第 K 个
/*** Definition for singly-linked list.* struct ListNode {* int val;* ListNode *next;* ListNode() : val(0), next(nullptr) {}* ListNode(int x) : val(x), next(nullptr) {}* ListNode(int x, ListNode *next) : val(x), next(next) {}* };*/
class Solution {
public:ListNode* swapNodes(ListNode* head, int k) {ListNode* cur = head, *prev = head;ListNode* a, *b;int n = k-1;while(n--){cur = cur->next;}a = cur;while(cur->next != NULL){cur = cur->next;prev = prev->next;}b = prev;swap(a->val, b->val);return head;}
};
1108 ms 176.3 MB C++
我的CSDN博客地址 https://michael.blog.csdn.net/
长按或扫码关注我的公众号(Michael阿明),一起加油、一起学习进步!
