基本概念
空间域滤波增强采用模板处理方法对图像进行 滤波,去除图像噪声或增强图像的细节

空间域平滑滤波器
分析:任何一幅原始图像,在其获取和传输等过程中, 会受到各种噪声的干扰,使图像模糊,对图像分析不利。 •为了抑制噪声改善图像质量所进行的处理称图像平滑或 去噪。
方法分类:
(1)局部平滑法
(2)超限像素平滑法
(3)空间低通滤波法
(1)局部平滑法
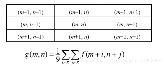
•局部平滑法是一种直接在空间域上进行平滑处理的技术。
•相邻像素间存在很高的空间相关性,而噪声则是统计独 立的。
•因此,可用邻域内各像素的灰度平均值代替该像素原来 的灰度值,实现图像的平滑。

【定理】设图像中的噪声是随机不相关的加性噪声,窗 口内各点噪声是独立同分布的,经过上述平滑后,信号 与噪声的方差比可望提高 N 倍。 即平滑后图像灰度的方差变为原来的1/ N 。

(2)超限像素平滑法
对邻域平均法稍加改进,可导出超限像素平滑法。 它是将 f ( x , y )和邻域平均 g ( x , y )的差的绝对值与选定的 阈值进行比较,根据比较结果决定点( x , y )的后灰 度 g‘ ( x , y )。其表达式为:

这种算法对对保护仅有微小灰度差的细节及纹理也有效。
•可见随着邻域增大,去噪能力增强,但模糊程度也大
空间低通滤波法

定义:
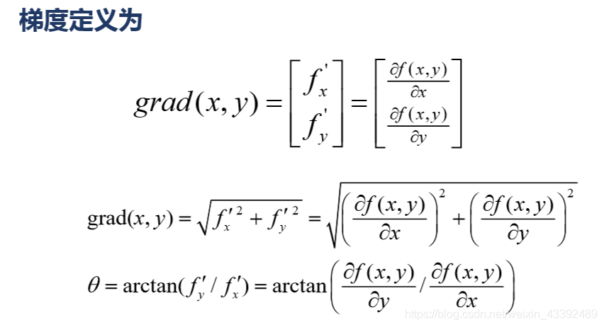
•图像锐化就是增强图像的边缘或轮廓。
•图像平滑通过积分过程使得图像边缘模糊。
•图像锐化则通过微分而使图像边缘突出、清晰。
(1)梯度锐化法





(3)低频分量消减法

