卷积的概念
卷积算得上是信号与系统里面一个比较抽象的概念,它广泛应用在统计学、工程学,好多人明白了怎么做题,却仍然说不清楚卷积的概念,我们把它当作一种运算,它的运算形式如下:
有f1(t)f2(t)f_1(t)f_2(t)f1(t)f2(t)两个函数,要对它们进行卷积运算,看这个积分:
∫∞∞f1(τ)∗f2(t−τ)dτ\int_{\infty}^{\infty}f_1(\tau)*f_2(t-\tau)d\tau∫∞∞f1(τ)∗f2(t−τ)dτ
这个积分被称作卷积积分,它可以简单的表示为f1(t)∗f2(t)f_1(t)*f_2(t)f1(t)∗f2(t),它就是卷积
观察函数可以得到,f2(t)f_2(t)f2(t)滞后于f1(t)f_1(t)f1(t)积分,在积分之前还要对f2(t)f_2(t)f2(t)进行一个翻折
它的由来则是由之前的LTI系统的线性,时不变性得到的:

最后的结果我们得到的是一个关于 ttt 的函数!!!!!!
比方说题目中给你两个函数,让你卷积一下,第一步就先写:
f(t)∗g(t)f(t)*g(t)f(t)∗g(t)
后面写上卷积积分的形式:
∫∞∞f(τ)∗g(t−τ)dτ\int_\infty^\infty f(\tau)*g(t-\tau)d\tau∫∞∞f(τ)∗g(t−τ)dτ
这里要注意的是这个τ\tauτ是一个虚设函数
卷积积分演变其他上下限的情况
- f1(t)是因果信号f_1(t)是因果信号f1(t)是因果信号 f1(t)∗ξ(t)f_1(t)*\xi(t)f1(t)∗ξ(t)则 ∫0+∞f1(τ)f2(t−τ)dτ\int_{0}^{+\infty}f_1(\tau)f_2(t-\tau)d\tau∫0+∞f1(τ)f2(t−τ)dτ
- f2(t)是因果信号f_2(t)是因果信号f2(t)是因果信号 f2(t)=f2(t)∗ξf_2(t)=f_2(t)*\xif2(t)=f2(t)∗ξ 则 ∫−∞tf1(τ)f2(t−τ)dτ\int_{-\infty}^{t}f_1(\tau)f_2(t-\tau)d\tau∫−∞tf1(τ)f2(t−τ)dτ
- 卷积的两个函数都是因果信号的话,它们的积分上下限为[0,t][0,t][0,t]。
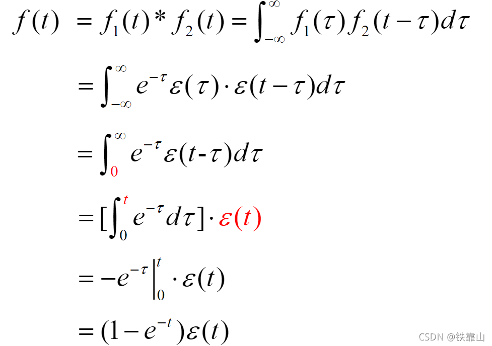
我们来看一道例题

我们可以发现这两个都是因果信号
t的范围就可以确定了,是[0,+∞][0,+\infty][0,+∞]
但是τ\tauτ的值是不可能大于ttt的(由阶跃函数的图像)
所以最终范围确定为[0,t][0,t][0,t]
求解如下:

卷积的图解法
图解法较为直观,在特定情况下比较方便
过程如下:

举例如下:

这两个函数都可以换τ\tauτ,换的时候主要看哪个函数简单就换哪个,方便我们后续计算,那个简单的函数,被我们翻折之后,按照t的大小慢慢向右边移动,母庸置疑的是,如果这两个函数图像没有交集,结果一定是0。
t∈[0,1]t\in[0,1]t∈[0,1],就是一个三角形面积的积分
t∈[1,2]t\in[1,2]t∈[1,2],以及后面的积分也是一样的道理
看另外一个函数的图形横坐标最大是2,所以超过2的不要了
类似的题目,多练一下
卷积的运算性质
卷积的运算满足交换律、结合律、分配律:


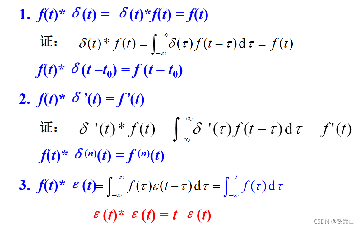
奇异函数的卷积特性
注:奇异函数又被称为脉冲函数,有时候会遇到教材的叫法不太一样

可以发现f(t)f(t)f(t)与冲激函数卷积,冲激函数导数的阶数会被转移到卷积后的函数上面,最后那个ξ(t)\xi(t)ξ(t),其实代表的是阶跃函数
卷积的微分性质
同样的,它有积分性质就有微分性质,如下:

特别的,关于f(t)(−1)f(t)^{(-1)}f(t)(−1),必须要有关于f(t)f(t)f(t)在t→−∞t\rightarrow-\inftyt→−∞为0这个条件成立的时候才满足:
f1(t)∗f2(t)=f1′(t)∗f2(−1)(t)f_1(t)*f_2(t)=f_1'(t)*f_2^{(-1)}(t)f1(t)∗f2(t)=f1′(t)∗f2(−1)(t)
例题:

我们发现,它给的条件不满足第三个条件,所以我们这里只能使用定义做了,这里的技巧就是把复杂的放在前面,好算

再来一道:


这个时候,你会发现题中所给的式子满足那个条件了
看,为啥给你画那么一个图,不就在暗示你求一次导数吗?
求导之后多方便:

然后:

最后:
