卷积的时移特性
若有一个卷积:
f(t)=f1(t)∗f2(t)f(t)=f_1(t)*f_2(t)f(t)=f1(t)∗f2(t),卷积右边的函数都发生了时移,分别为t1,t2t_1,t_2t1,t2,则有:

不要管怎么来,记下就完事了
例题:


f1(t)f_1(t)f1(t)很好写:f1(t)=δ(t)−δ(t−2)f_1(t)=\delta(t)-\delta(t-2)f1(t)=δ(t)−δ(t−2)

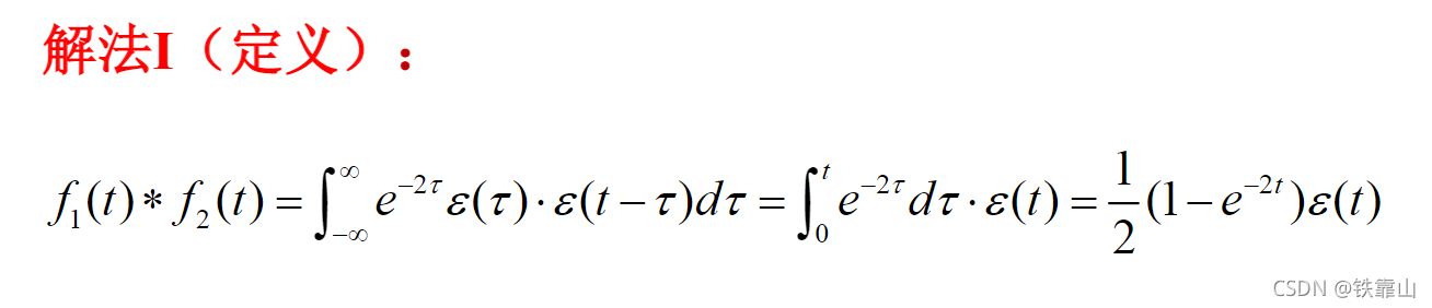
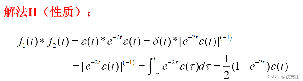
计算δ(t)∗f2(t)\delta(t)*f_2(t)δ(t)∗f2(t)时,使用咱们前面学的那个定理,就是卷积的运算性质那里面的,前面求一次导数,后面积分一下:

积分范围是[0,t][0,t][0,t]
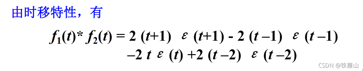
然后时移特性,啪的一下很快啊,就出来了:

例题2:求这两个函数的卷积

这里要用到之前提过很多次的:


常用的卷积重要公式

一个常量与一个函数的卷积等于常量与函数波形净面积的乘积
任何一个函数与冲激函数的卷积都等于它本身
和冲激偶函数卷积,前导后不导,后导前不导卷积出来的值都是f′(t)f'(t)f′(t)
若是和一个周期性的冲激序列卷积f(t−mT)f(t-mT)f(t−mT)直接取而代之δ(t−mT)\delta(t-mT)δ(t−mT)的位置
两个阶跃函数的卷积ξ(t)∗ξ(t)=tξ(t)\xi(t)*\xi(t)=t\xi(t)ξ(t)∗ξ(t)=tξ(t)
卷积的多种求解方法
灵活使用图解法



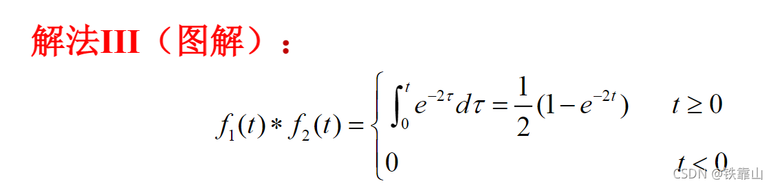
f2(t)f_2(t)f2(t)是因果信号所以积分区间为[−∞,t][-\infty,t][−∞,t]这个在前面的卷积积分演变其他上下限的情况提到过


图解法是最直观的

周期脉冲的卷积
咱们前面的公式总结中提到过:


如果想要保持波形,就得保证T>τT>\tauT>τ
矩形脉冲的卷积产生三角形与梯形脉冲
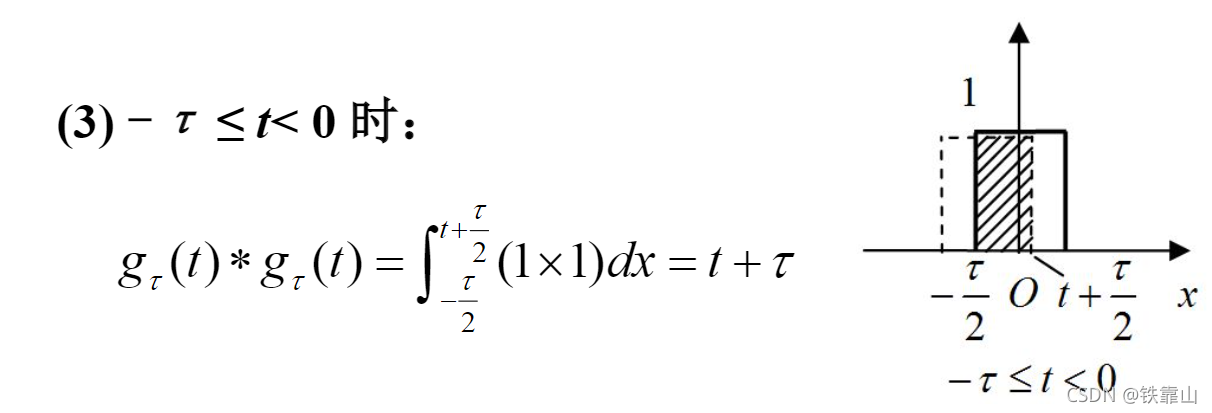
门函数gτ(t)g_\tau(t)gτ(t)在电子技术中称为矩形脉冲,如果它与它自身卷积会有什么效果呢?





推导过程可以看不明白,结论一定要牢记,最后的波形是一个三角形!
两个不同的门函数卷积积分
前面是两个相同门限的门函数卷积积分,现在是不同门限的门函数卷积积分

得到结论:

结论一定要记住!
互相关与自相关函数
引入这两个函数是为了比较信号与另一个时延信号之间的相似度,多用于雷达,通信同步
