与本题相关联的题目解析:
leetcode 78. 子集 思考分析
leetcode 40. 组合总和 II思考分析
题目
给定一个可能包含重复元素的整数数组 nums,返回该数组所有可能的子集(幂集)。
说明:解集不能包含重复的子集。

思考
在文章 leetcode 40. 组合总和 II思考分析
我们讲过去重的方法,分为树层去重和树枝去重。
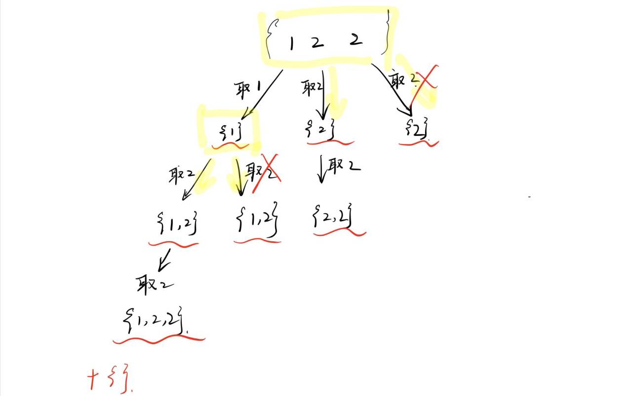
首先根据例子画出解空间树草图:观察
发现,同一层重复取2就要过滤掉,同个树枝上是可以重复取相同元素的。这样就确定了去重条件,在层遍历的for循环中加入:
//如果遇到同一个集合的重复元素,跳过这个元素即可
if(i > startindex && candidates[i] == candidates[i-1]) continue;
在调用函数前要先对数组进行排序,使得重复的元素靠在一起,加速剪枝。
//排序加速剪枝
sort(candidates.begin(),candidates.end());
其余的思路和之前的leetcode 78. 子集 思考分析一样。
代码
class Solution {
public:vector<vector<int>> result;vector<int> res;int floor=0;void backtracking(vector<int>& nums,int start,int end){result.push_back(res);//剩余集合为空,返回if(start==end){return;}for(int i=start;i<end;i++){if(i > start && nums[i] == nums[i-1]) continue;//cout<<nums[i]<<"层数:"<<floor<<endl;//处理结点;res.push_back(nums[i]);floor++;//递归,探索下一层backtracking(nums,i+1,end); //递归floor--;//回溯,撤销处理结果res.pop_back();}return;}vector<vector<int>> subsetsWithDup(vector<int>& nums) {result.clear();res.clear();floor=0;//排序加速剪枝sort(nums.begin(),nums.end());backtracking(nums,0,nums.size());return result; }
};