给定 n 个非负整数 a1,a2,...,an,每个数代表坐标中的一个点 (i, ai) 。在坐标内画 n 条垂直线,垂直线 i 的两个端点分别为 (i, ai) 和 (i, 0)。找出其中的两条线,使得它们与 x 轴共同构成的容器可以容纳最多的水。
说明:你不能倾斜容器,且 n 的值至少为 2。
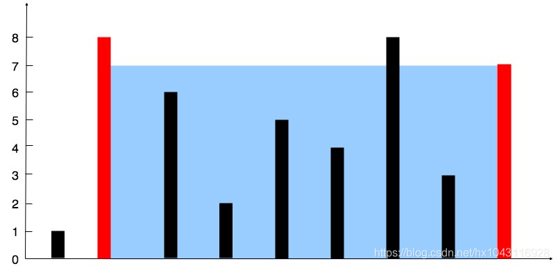
图中垂直线代表输入数组 [1,8,6,2,5,4,8,3,7]。在此情况下,容器能够容纳水(表示为蓝色部分)的最大值为 49。

示例:
输入: [1,8,6,2,5,4,8,3,7]
输出: 49
一 暴力解法
public class Solution11 {
public static int maxArea(int[] height) {
int i,j,max=0;
int n = height.length;
for(i=0;i<n;i++)
{
for(j=i;j<n;j++)
{
if((j-i)*java.lang.Math.min(height[i], height[j])>max)
{
max = (j-i)*java.lang.Math.min(height[i], height[j]);
}
}
}
return max;
}
public static void main(String[] args)
{
int[] a = {1,8,6,2,5,4,8,3,7};
System.out.println(maxArea(a));
}
}
二 双标记法
首尾各设置一个标记,每一次的面积都决定于宽度和短柱子的高度,
所以只需要变化短柱子即可。
i,j分别放置于首尾处,如果第一根柱子短,i向后移动一位,否则,j向前移动一位
public class Solution11 {
public static int maxArea(int[] height) {
int i,j,max=0;
int n = height.length;
i=0;j=n-1;
while(i<j)
{
if((j-i)*java.lang.Math.min(height[i], height[j])>max)
{
max = (j-i)*java.lang.Math.min(height[i], height[j]);
}
if(height[i]>height[j])
{
j--;
}
else
{
i++;
}
}
return max;
}
public static void main(String[] args)
{
int[] a = {1,8,6,2,5,4,8,3,7};
System.out.println(maxArea(a));
}
}