本文章为结合leetcode题目以及公众号“代码随想录”的文章所做的笔记!
感觉代码随想录的题目整理真的很好,比自己盲目刷题好很多。
目录
- 1、二叉树小记
 - 1、满二叉树与完全二叉树
 - 2、二叉搜索树
 - 3、平衡二叉搜索树AVL
 - 4、二叉树存储方式
 - 5、二叉树遍历方式
 - 6、二叉树的定义
 
- 2、二叉树深度优先遍历递归算法书写
 - 1、leetcode144题:
 - 2、leetcode145题:
 - 3、leetcode94题:
 
- 3、二叉树深度优先遍历迭代算法书写
 - 1、先序遍历(迭代法)
 - 2、中序遍历(迭代法)
 - 3、后序遍历(迭代法)
 
- 4、二叉树深度优先遍历迭代算法格式统一
 - 5、二叉树层序遍历
 - 1、leetcode102:二叉树的层序遍历
 - 2、leetcode107:二叉树的层序遍历 II
 - 3、leetcode199:二叉树的右视图
 - 4、leetcode637:二叉树的层平均值
 - 5、leetcode429:N叉树的层序遍历
 - 6、leetcode515. 在每个树行中找最大值
 - 7、leetcode116. 填充每个节点的下一个右侧节点指针
 - 8、leetcode117. 填充每个节点的下一个右侧节点指针 II(遇上一题思路代码一致)
 - 9、104. 二叉树的最大深度
 - 10、111. 二叉树的最大深度
 
1、二叉树小记
1、满二叉树与完全二叉树
满二叉树:深度为k,有2的k-1个节点的二叉树。
 完全二叉树:除了最底层节点可能没填满外,其余每层节点数都达到最大值,并且最下面一层的节点都集中在该层最左边的若干位置。若最底层为第h层,则该层包含1~2h个节点。
2、二叉搜索树
二叉搜索树是有数值的,是一个有序树。
 它的特点:
1、若它的左子树不空,则左子树所有结点的值均小于它根结点的值
2、若它的右子树不空,则右子树上所有结点的值均大于它的根结点的值
3、它的左右子树也分别为二叉排序树
3、平衡二叉搜索树AVL
AVL是一棵空数或它的左右两个子树的高度差的绝对值不超过1,并且左右两个子树都是一棵平衡二叉树。
 C++中map、set、multimap、multiset的底层实现都是平衡二叉搜索树,所以map、set的增删操作时间复杂度都是logn。
 而unordered_map、unordered_set、unordered_map、unordered_map底层实现是哈希表。
4、二叉树存储方式
链表存储与数组存储。
 数组存储二叉树遍历:如果父节点的数组下标是i,那么它的左孩子就是i2+1,右孩子就是i2+2.
5、二叉树遍历方式
有两种遍历方式:
 1、深度优先遍历:先往深走,遇到叶子结点再往回走
 分为:前序遍历、中序遍历、后序遍历
 这里的前中后,指的是中间结点的遍历顺序
 前序遍历:中、左、右
 中序遍历:左、中、右
 后序遍历:左、右、中
 深度优先遍历使用递归是比较方便的,可以借助栈使用非递归方式实现。
2、广度优先遍历:一层一层的去遍历
 分为:层次遍历
 广度优先遍历一般使用队列实现,利用了队列的先进先出的特点。这样才能一层一层的来遍历二叉树。
6、二叉树的定义
二叉树的定义和链表差不多,多了一个指针
struct TreeNode{int val;TreeNode *left;TreeNode *right;TreeNode(int x) : val(x),left(NULL),right(NULL) {}
};
 
2、二叉树深度优先遍历递归算法书写
递归算法的三个要素:
 1、确定递归函数的参数和返回值
若是在递归过程中需要处理某个参数,就在递归函数里面加上这个参数。
明确每次递归地返回值是什么,进而确定递归函数的返回类型
2、确定终止条件
1、如果在递归算法运行过程中出现栈溢出,大概率是终止条件写的不对
2、操作系统也是用一个栈的结构来保存每一层递归地信息,如果递归没有终止,操作系统的内存栈必然就会溢出
3、确定单层递归逻辑
确定每一层递归需要处理的信息。在这里也会重复调用自己来实现递归地过程
以前序遍历为例:
 1、因为要打印出前序遍历结点的数值,所以参数里需要传入vector放在结点里的数据。没有返回值
void traversal(TreeNode* cur ,vector<int>& vec)
 
2、在递归过程中,如何算是递归结束?如果当前遍历的结点是空的,那么本层递归就结束了
if(cur == NULL) return;
 
3、前序遍历是中左右的循序,所以在单层递归中就要先取出中结点的数据
vec.push_back(cur->val);		//中
traversal(cur->left,vec);		//左
traversal(cur->right,vec);		//右
 
完整代码:
class Solution{public:void traversal(TreeNode* cur , vector<int>& vec){if(cur == NULL) return;vec.push_back(cur->val);traversal(cur->left,vec);traversal(cur->right,vec);}vector<int> preorderTraversal(TreeNode* root){vector<int> result;traversal(root,result);return result;}
};
 
中序遍历:
void traversal(TreeNode* cur , vector<int>& vec)
{if(cur == NULL) return;traversal(cur->left,vec);vec.push_back(cur->val);traversal(cur->right,vec);
}
 
后序遍历:
void traversal(TreeNode* cur , vector<int>& vec)
{if(cur == NULL) return;traversal(cur->left,vec);traversal(cur->right,vec);vec.push_back(cur->val);
}
 
1、leetcode144题:
给定一个二叉树,返回它的 前序 遍历。
 示例:
 输入: [1,null,2,3]
 1
 
 2
 /
 3
 输出: [1,2,3]
/*** Definition for a binary tree node.* struct TreeNode {*     int val;*     TreeNode *left;*     TreeNode *right;*     TreeNode() : val(0), left(nullptr), right(nullptr) {}*     TreeNode(int x) : val(x), left(nullptr), right(nullptr) {}*     TreeNode(int x, TreeNode *left, TreeNode *right) : val(x), left(left), right(right) {}* };*/
class Solution {
public:void traversal(TreeNode* cur , vector<int>& vec){if(cur == NULL) return;vec.push_back(cur->val);traversal(cur->left,vec);traversal(cur->right,vec);}vector<int> preorderTraversal(TreeNode* root){vector<int> result;traversal(root,result);return result;}
};
 
2、leetcode145题:
给定一个二叉树,返回它的 后序 遍历。
 示例:
 输入: [1,null,2,3]
 1
 
 2
 /
 3
 输出: [3,2,1]
/*** Definition for a binary tree node.* struct TreeNode {*     int val;*     TreeNode *left;*     TreeNode *right;*     TreeNode() : val(0), left(nullptr), right(nullptr) {}*     TreeNode(int x) : val(x), left(nullptr), right(nullptr) {}*     TreeNode(int x, TreeNode *left, TreeNode *right) : val(x), left(left), right(right) {}* };*/
class Solution {
public:void traversal(TreeNode* cur , vector<int>& vec){if(cur == NULL) return;traversal(cur->left,vec);traversal(cur->right,vec);vec.push_back(cur->val);}vector<int> postorderTraversal(TreeNode* root) {vector<int> result;traversal(root,result);return result;}
};
 
3、leetcode94题:
/*** Definition for a binary tree node.* struct TreeNode {*     int val;*     TreeNode *left;*     TreeNode *right;*     TreeNode() : val(0), left(nullptr), right(nullptr) {}*     TreeNode(int x) : val(x), left(nullptr), right(nullptr) {}*     TreeNode(int x, TreeNode *left, TreeNode *right) : val(x), left(left), right(right) {}* };*/
class Solution {
public:void traversal(TreeNode* cur , vector<int>& vec){if(cur == NULL) return;traversal(cur->left,vec);vec.push_back(cur->val);traversal(cur->right,vec);}vector<int> inorderTraversal(TreeNode* root) {vector<int> result;traversal(root,result);return result;}
};
 
3、二叉树深度优先遍历迭代算法书写
原理:为什么可以使用迭代法(非递归地方式)来实现二叉树的前后中序遍历?
 递归地实现就是:每一次递归调用都会把函数的局部变量、参数值和返回地址等压入调用栈中,
 然后递归返回的时候,从栈顶弹出上一次递归的各项参数,所以这就是递归为什么可以返回上一层位置的原因。
1、先序遍历(迭代法)
前序遍历:中左右;每次处理的是中间结点,先将根结点放入栈中,然后将右孩子放入栈中,再加入左孩子。
 为什么要先加入有孩子,再加入左孩子?
 这样出栈的时候才是中左右的顺序。
 顺序如下:
 
class Solution{
public:vector<int> preorderTraversal(TreeNode* root){stack<TreeNode*> st;		//构建一个栈vector<int> result;st.push(root);			//先将根结点压入栈中while(!st.empty()){			//当栈中还有元素时TreeNode* node = st.top();	//将栈顶元素赋给新结点	st.pop();					//将栈顶元素出栈if(node !=NULL) result.push_back(node->val);	//如果这个结点不为空,将值赋给resultelse continue;									//否则继续,(也就是说如果结点为空不赋值)st.push(node->right);		//将该中结点的右孩子压入栈中st.push(node->left);		//将该结点中的左孩子压入栈中}return result;}
};
 
2、中序遍历(迭代法)
注意,前序遍历的迭代法思路不能直接套用到中序遍历上。
 在迭代的过程中有两个操作:
 1、【处理】将元素放入result数组
 2、【访问】遍历结点
 前序遍历中:遍历的顺序是中左右。
 先访问中间结点,先处理中间结点
 要访问的元素和要处理的元素的顺序一致,都是中间结点。
 而中序遍历,遍历顺序为左中右。
 先访问二叉树顶部结点,然后一层一层向下访问,直到到达树左面的最底部,再开始处理结点(再把结点的数值放到result数组中);
 这就导致了处理顺序和访问顺序不一致
 所以在使用迭代 法时,需要借用指针的遍历来帮助访问结点,使用栈来处理结点上的元素。
 
class Solution{
public:vector<int> inorderTraversal(TreeNode* root){vector<int> result;stack<TreeNode*> st;TreeNode* cur = root;while(!st.empty() || cur!=NULL){if(cur!=NULL){st.push(cur);cur = cur->left;    //先一直都是从左结点深入,直到某一个结点的左孩子为NULL}//如果该点是父结点的左孩子,且指向空,则将cur指向它的父结点(为最深的左结点),然后将父结点出栈,将值赋给结果数组,再将指针指向此父结点的右孩子(这样保证了左中右的遍历顺序)else{cur = st.top();st.pop();result.push_back(cur->val);cur = cur->right;}          }return result;}
};
 
3、后序遍历(迭代法)
后序遍历:左右中。
 先序遍历:中左右。
 我们只需要调整一下先序遍历的代码顺序,变为中右左的遍历顺序。
 然后反转result数组,输出结果就是左右中。
/*** Definition for a binary tree node.* struct TreeNode {*     int val;*     TreeNode *left;*     TreeNode *right;*     TreeNode() : val(0), left(nullptr), right(nullptr) {}*     TreeNode(int x) : val(x), left(nullptr), right(nullptr) {}*     TreeNode(int x, TreeNode *left, TreeNode *right) : val(x), left(left), right(right) {}* };*/
class Solution {
public:vector<int> postorderTraversal(TreeNode* root) {stack<TreeNode*> st;		//构建一个栈vector<int> result;st.push(root);			//先将根结点压入栈中while(!st.empty()){			//当栈中还有元素时TreeNode* node = st.top();	//将栈顶元素赋给新结点	st.pop();					//将栈顶元素出栈if(node !=NULL) result.push_back(node->val);	//如果这个结点不为空,将值赋给resultelse continue;									//否则继续,(也就是说如果结点为空不赋值)st.push(node->left);		//将该中结点的左孩子压入栈中st.push(node->right);		//将该结点中的右孩子压入栈中}//反转resultreverse(result.begin(),result.end());return result;}
};
 
4、二叉树深度优先遍历迭代算法格式统一
之前迭代法例子中提到无法同时解决访问节点(遍历)和处理结点(将结点放入结果)不一致的情况。
 解决方法:
 将访问的结点放入栈中,把要处理的结点也放入栈中,但是要做标记
 标记方法:将要处理的结点放入栈中之后,紧接着放入一个空指针作为标记
 将访问的结点直接加入到栈中,但是如果是处理的结点则后面放入一个空结点,这样只有空结点弹出的时候才将下一个结点放进结果集。
 如何知道该访问的结点是我们需要处理的结点?(中结点是我们需要处理的结点),所以只需要在中结点后面加入一个空结点就行了
 中序遍历:
class Solution{
public:vector<int> inorderTraversal(TreeNode* root){vector<int> result;stack<TreeNode*> st;if(root !=NULL) st.push(root);while(!st.empty()){TreeNode* node = st.top();  //标记操作,直到遇到NULLif(node!=NULL){//将该结点弹出,避免重复操作st.pop();//添加右结点if(node->right) st.push(node->right);//添加中结点st.push(node);//标记st.push(NULL); //添加左结点if(node->left) st.push(node->left);}//只有遇到空结点的时候,才将下一个结点放入到结果中else{//弹出空结点st.pop();node = st.top();st.pop();   result.push_back(node->val);}}return result;}
};
 
先序遍历:中左右
class Solution{
public:vector<int> preorderTraversal(TreeNode* root){vector<int> result;stack<TreeNode*> st;if(root !=NULL) st.push(root);while(!st.empty()){TreeNode* node = st.top();  //标记操作,直到遇到NULLif(node!=NULL){//将该结点弹出,避免重复操作st.pop();//添加右结点if(node->right) st.push(node->right);//添加左结点if(node->left) st.push(node->left);//添加中结点st.push(node);//标记st.push(NULL); }//只有遇到空结点的时候,才将下一个结点放入到结果中else{//弹出空结点st.pop();node = st.top();st.pop();   result.push_back(node->val);}}return result;}
};
 
后序遍历:左右中
class Solution{
public:vector<int> postorderTraversal(TreeNode* root){vector<int> result;stack<TreeNode*> st;if(root !=NULL) st.push(root);while(!st.empty()){TreeNode* node = st.top();  //标记操作,直到遇到NULLif(node!=NULL){//将该结点弹出,避免重复操作st.pop();//添加中结点st.push(node);//标记st.push(NULL); //添加右结点if(node->right) st.push(node->right);//添加左结点if(node->left) st.push(node->left);}//只有遇到空结点的时候,才将下一个结点放入到结果中else{//弹出空结点st.pop();node = st.top();st.pop();   result.push_back(node->val);}}return result;}
};
 
总结:
这种方法比较好记忆,主要注意以下几点
1、栈的特性入栈和出栈相反,所以如果想输出顺序为“左中右”,入栈顺序必须为“右中左”
2、入栈的处理:可以将整个树简化为3个结点一组的多个子树。每次循环处理的实际就是将这样的3个结点按照规定的顺序进行入栈。
3、NULL结点的加入以及出栈规则的指定:
以中序遍历为例,保证了当左孩子作为栈顶元素时不会立即出栈,而是会将当前的左孩子(栈顶元素)作为下次遍历的父结点;接着按照规则顺序入栈,直到当前的左孩子作为父结点再无孩子时(此时是入栈规则为父结点、NULL结点),遇到NULL结点,进行出栈。
5、二叉树层序遍历
1、leetcode102:二叉树的层序遍历
给你一个二叉树,请你返回其按 层序遍历 得到的节点值。 (即逐层地,从左到右访问所有节点)。
 示例:
 二叉树:[3,9,20,null,null,15,7],
 3
 / 
 9 20
 / 
 15 7
 返回其层次遍历结果:
[
 [3],
 [9,20],
 [15,7]
 ]
 思考:
 借用队列来实现,【队列先进先出,符合一层一层遍历的逻辑】
 而栈先进后出适合模拟深度优先遍历也就是递归地逻辑。
 【这种层序遍历的方式就是图论中的广度优先遍历,只不过用在了二叉树上】
 思考:
 
/*** Definition for a binary tree node.* struct TreeNode {*     int val;*     TreeNode *left;*     TreeNode *right;*     TreeNode(int x) : val(x), left(NULL), right(NULL) {}* };*/
class Solution {
public:vector<vector<int>> levelOrder(TreeNode* root) {queue<TreeNode*> que;if(root!=NULL) que.push(root);vector<vector<int>> result;while(!que.empty()){//该层结点元素个数 = 该层队列元素int size = que.size();vector<int> vec;//这里要使用固定大小的size,不能使用que.size(),因为在处理中que.size是不断变化的//将这层元素送入队列中并依次从队首向队尾将元素出队列,每个元素出队列的同时又将其不为空的子结点送入队列for(int i =0;i<size;i++){TreeNode* node = que.front();//将队首元素送入该层结果que.pop();vec.push_back(node->val);//将左右孩子结点入队列,作为下一层的元素if(node->left) que.push(node->left);if(node->right) que.push(node->right);}result.push_back(vec);}return result;}
};
 
2、leetcode107:二叉树的层序遍历 II
给定一个二叉树,返回其节点值自底向上的层次遍历。 (即按从叶子节点所在层到根节点所在的层,逐层从左向右遍历)
 例如:
 给定二叉树 [3,9,20,null,null,15,7],
 3
 / 
 9 20
 / 
 15 7
 返回其自底向上的层次遍历为:
[
 [15,7],
 [9,20],
 [3]
 ]
 思路:在层序遍历的基础上进行直接反转
/*** Definition for a binary tree node.* struct TreeNode {*     int val;*     TreeNode *left;*     TreeNode *right;*     TreeNode(int x) : val(x), left(NULL), right(NULL) {}* };*/
class Solution {
public:vector<vector<int>> levelOrderBottom(TreeNode* root) {queue<TreeNode*> que;if(root!=NULL) que.push(root);vector<vector<int>> result;while(!que.empty()){//该层结点元素个数 = 该层队列元素int size = que.size();vector<int> vec;//这里要使用固定大小的size,不能使用que.size(),因为在处理中que.size是不断变化的//将这层元素送入队列中并依次从队首向队尾将元素出队列,每个元素出队列的同时又将其不为空的子结点送入队列for(int i =0;i<size;i++){TreeNode* node = que.front();//将队首元素送入该层结果que.pop();vec.push_back(node->val);//将左右孩子结点入队列,作为下一层的元素if(node->left) que.push(node->left);if(node->right) que.push(node->right);}result.push_back(vec);}//将层序遍历反转一下结果reverse(result.begin(),result.end());return result;}
};
 
3、leetcode199:二叉树的右视图
给定一棵二叉树,想象自己站在它的右侧,按照从顶部到底部的顺序,返回从右侧所能看到的节点值。
 示例:
 输入: [1,2,3,null,5,null,4]
 输出: [1, 3, 4]
 解释:
 1 <—
 / 
 2 3 <—
 \ 
 5 4 <—
 思路:对层序遍历的的结果的每个子层result取最后的一个,作为结果返回。
/*** Definition for a binary tree node.* struct TreeNode {*     int val;*     TreeNode *left;*     TreeNode *right;*     TreeNode(int x) : val(x), left(NULL), right(NULL) {}* };*/
class Solution {
public:vector<int> rightSideView(TreeNode* root) {queue<TreeNode*> que;if(root!=NULL) que.push(root);vector<int> realresult;while(!que.empty()){//该层结点元素个数 = 该层队列元素int size = que.size();vector<int> vec;//这里要使用固定大小的size,不能使用que.size(),因为在处理中que.size是不断变化的//将这层元素送入队列中并依次从队首向队尾将元素出队列,每个元素出队列的同时又将其不为空的子结点送入队列for(int i =0;i<size;i++){TreeNode* node = que.front();//将队首元素送入该层结果que.pop();vec.push_back(node->val);//将左右孩子结点入队列,作为下一层的元素if(node->left) que.push(node->left);if(node->right) que.push(node->right);}realresult.push_back(vec[size-1]);}return realresult;}
};
 
4、leetcode637:二叉树的层平均值
给定一个非空二叉树, 返回一个由每层节点平均值组成的数组。
 示例 1:
 输入:
 3
 / 
 9 20
 / 
 15 7
 输出:[3, 14.5, 11]
 解释:
 第 0 层的平均值是 3 , 第1层是 14.5 , 第2层是 11 。因此返回 [3, 14.5, 11] 。
 提示:
 节点值的范围在32位有符号整数范围内。
思考:层序遍历中加入累加以及求均值操作
/*** Definition for a binary tree node.* struct TreeNode {*     int val;*     TreeNode *left;*     TreeNode *right;*     TreeNode(int x) : val(x), left(NULL), right(NULL) {}* };*/
class Solution {
public:vector<double> averageOfLevels(TreeNode* root) {queue<TreeNode*> que;if(root!=NULL) que.push(root);vector<double> realresult;while(!que.empty()){//该层结点元素个数 = 该层队列元素int size = que.size();vector<int> vec;double sum = 0;//这里要使用固定大小的size,不能使用que.size(),因为在处理中que.size是不断变化的//将这层元素送入队列中并依次从队首向队尾将元素出队列,每个元素出队列的同时又将其不为空的子结点送入队列for(int i =0;i<size;i++){TreeNode* node = que.front();//将队首元素送入该层结果que.pop();vec.push_back(node->val);sum+=vec[i];//将左右孩子结点入队列,作为下一层的元素if(node->left) que.push(node->left);if(node->right) que.push(node->right);}realresult.push_back(sum /size);}return realresult;}
};
 
5、leetcode429:N叉树的层序遍历
给定一个 N 叉树,返回其节点值的层序遍历。 (即从左到右,逐层遍历)。
 例如,给定一个 3叉树 :
 返回其层序遍历:
 [
 [1],
 [3,2,4],
 [5,6]
 ]
 说明:
 树的深度不会超过 1000。
 树的节点总数不会超过 5000。
 思考:与二叉树层序遍历方法一样,不过子结点的个数不定
/*
// Definition for a Node.
class Node {
public:int val;vector<Node*> children;Node() {}Node(int _val) {val = _val;}Node(int _val, vector<Node*> _children) {val = _val;children = _children;}
};
*/class Solution {
public:vector<vector<int>> levelOrder(Node* root) {queue<Node*> que;if(root!=NULL) que.push(root);vector<vector<int>> result;while(!que.empty()){//该层结点元素个数 = 该层队列元素int size = que.size();vector<int> vec;//这里要使用固定大小的size,不能使用que.size(),因为在处理中que.size是不断变化的//将这层元素送入队列中并依次从队首向队尾将元素出队列,每个元素出队列的同时又将其不为空的子结点送入队列for(int i =0;i<size;i++){Node* node = que.front();//将队首元素送入该层结果que.pop();vec.push_back(node->val);//将所有孩子结点入队列,作为下一层的元素for(int j=0;j<node->children.size();j++){if(node->children[j]) que.push(node->children[j]);}}result.push_back(vec);}return result;}
};
 
6、leetcode515. 在每个树行中找最大值
您需要在二叉树的每一行中找到最大的值。
 示例:
 输入:
 1
 / 
 3 2
 / \ \
 5 3 9
输出: [1, 3, 9]
 思考:层序遍历,然后在每层中找最大值
/*** Definition for a binary tree node.* struct TreeNode {*     int val;*     TreeNode *left;*     TreeNode *right;*     TreeNode() : val(0), left(nullptr), right(nullptr) {}*     TreeNode(int x) : val(x), left(nullptr), right(nullptr) {}*     TreeNode(int x, TreeNode *left, TreeNode *right) : val(x), left(left), right(right) {}* };*/
class Solution {
public:vector<int> largestValues(TreeNode* root) {queue<TreeNode*> que;if(root!=NULL) que.push(root);vector<int> result;while(!que.empty()){//该层结点元素个数 = 该层队列元素int size = que.size();int max=-2147483648;    //(最小值)vector<int> vec;//这里要使用固定大小的size,不能使用que.size(),因为在处理中que.size是不断变化的//将这层元素送入队列中并依次从队首向队尾将元素出队列,每个元素出队列的同时又将其不为空的子结点送入队列for(int i =0;i<size;i++){TreeNode* node = que.front();//将队首元素送入该层结果que.pop();vec.push_back(node->val);if(max<=node->val) max = node->val;//将左右孩子结点入队列,作为下一层的元素if(node->left) que.push(node->left);if(node->right) que.push(node->right);}result.push_back(max);}return result;}
};
 
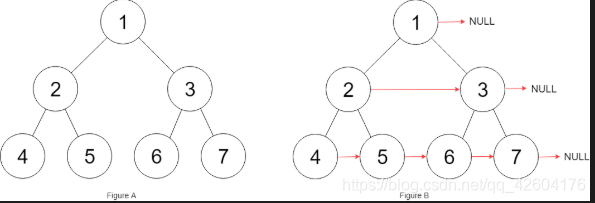
7、leetcode116. 填充每个节点的下一个右侧节点指针
给定一个完美二叉树,其所有叶子节点都在同一层,每个父节点都有两个子节点。二叉树定义如下:
struct Node {
 int val;
 Node *left;
 Node *right;
 Node *next;
 }
 填充它的每个 next 指针,让这个指针指向其下一个右侧节点。如果找不到下一个右侧节点,则将 next 指针设置为 NULL。
 初始状态下,所有 next 指针都被设置为 NULL。
示例:
 
 
 解释:给定二叉树如图 A 所示,你的函数应该填充它的每个 next 指针,以指向其下一个右侧节点,如图 B 所示。
 提示:
 你只能使用常量级额外空间。
 使用递归解题也符合要求,本题中递归程序占用的栈空间不算做额外的空间复杂度。
思考:层序遍历,只不过在单层遍历的时候记录本层的头部节点,然后在遍历的时候让前一个节点指向本节点。
/*
// Definition for a Node.
class Node {
public:int val;Node* left;Node* right;Node* next;Node() : val(0), left(NULL), right(NULL), next(NULL) {}Node(int _val) : val(_val), left(NULL), right(NULL), next(NULL) {}Node(int _val, Node* _left, Node* _right, Node* _next): val(_val), left(_left), right(_right), next(_next) {}
};
*/class Solution {
public:Node* connect(Node* root) {queue<Node*> que;if(root!=NULL) que.push(root);while(!que.empty()){int size = que.size();Node* node;Node* Prenode;for(int i =0;i<size;i++){//每层第一个元素元素if(i==0){Prenode =que.front();que.pop();node = Prenode;}//非每层第一个结点else{node = que.front();que.pop();//将此结点与上一个结点连在一起Prenode->next = node;Prenode = node; }//将左右孩子结点入队列,作为下一层的元素if(node->left) que.push(node->left);if(node->right) que.push(node->right);}Prenode->next =NULL;}return root;}
};
 
8、leetcode117. 填充每个节点的下一个右侧节点指针 II(遇上一题思路代码一致)
给定一个二叉树
 struct Node {
 int val;
 Node *left;
 Node *right;
 Node *next;
 }
 填充它的每个 next 指针,让这个指针指向其下一个右侧节点。如果找不到下一个右侧节点,则将 next 指针设置为 NULL。
 初始状态下,所有 next 指针都被设置为 NULL。
进阶:
 你只能使用常量级额外空间。
 使用递归解题也符合要求,本题中递归程序占用的栈空间不算做额外的空间复杂度。
 
9、104. 二叉树的最大深度
思路:层序遍历,每层对一个变量++即可
 给定一个二叉树,找出其最大深度。
二叉树的深度为根节点到最远叶子节点的最长路径上的节点数。
说明: 叶子节点是指没有子节点的节点。
示例:
 给定二叉树 [3,9,20,null,null,15,7],
3
 
/ 
 9 20
 / 
 15 7
 返回它的最大深度 3 。
/*** Definition for a binary tree node.* struct TreeNode {*     int val;*     TreeNode *left;*     TreeNode *right;*     TreeNode(int x) : val(x), left(NULL), right(NULL) {}* };*/
class Solution {
public:int maxDepth(TreeNode* root) {queue<TreeNode*> que;if(root!=NULL) que.push(root);int result=0;while(!que.empty()){//该层结点元素个数 = 该层队列元素int size = que.size();//这里要使用固定大小的size,不能使用que.size(),因为在处理中que.size是不断变化的//将这层元素送入队列中并依次从队首向队尾将元素出队列,每个元素出队列的同时又将其不为空的子结点送入队列for(int i =0;i<size;i++){TreeNode* node = que.front();//将队首元素送入该层结果que.pop();//将左右孩子结点入队列,作为下一层的元素if(node->left) que.push(node->left);if(node->right) que.push(node->right);}result++;}return result; }
};
 
10、111. 二叉树的最大深度
给定一个二叉树,找出其最小深度。
最小深度是从根节点到最近叶子节点的最短路径上的节点数量。
说明: 叶子节点是指没有子节点的节点。
示例:
给定二叉树 [3,9,20,null,null,15,7],
3
 
/ 
 9 20
 / 
 15 7
 返回它的最小深度 2.
 思考:层序遍历,若当前层有一个结点的左孩子和右孩子均无则可以确定最小深度。
 不过这个思路的效率很低
/*** Definition for a binary tree node.* struct TreeNode {*     int val;*     TreeNode *left;*     TreeNode *right;*     TreeNode() : val(0), left(nullptr), right(nullptr) {}*     TreeNode(int x) : val(x), left(nullptr), right(nullptr) {}*     TreeNode(int x, TreeNode *left, TreeNode *right) : val(x), left(left), right(right) {}* };*/
class Solution {
public:int minDepth(TreeNode* root) {queue<TreeNode*> que;if(root!=NULL) que.push(root);int result=0;int break_flag=0;while(!que.empty()){//该层结点元素个数 = 该层队列元素int size = que.size();//这里要使用固定大小的size,不能使用que.size(),因为在处理中que.size是不断变化的//将这层元素送入队列中并依次从队首向队尾将元素出队列,每个元素出队列的同时又将其不为空的子结点送入队列for(int i =0;i<size;i++){TreeNode* node = que.front();//将队首元素送入该层结果que.pop();if(!node->left && !node->right){return result+1;} //将左右孩子结点入队列,作为下一层的元素if(node->left) que.push(node->left);if(node->right) que.push(node->right);}result++;}return result;  }
};