原题链接
题解:
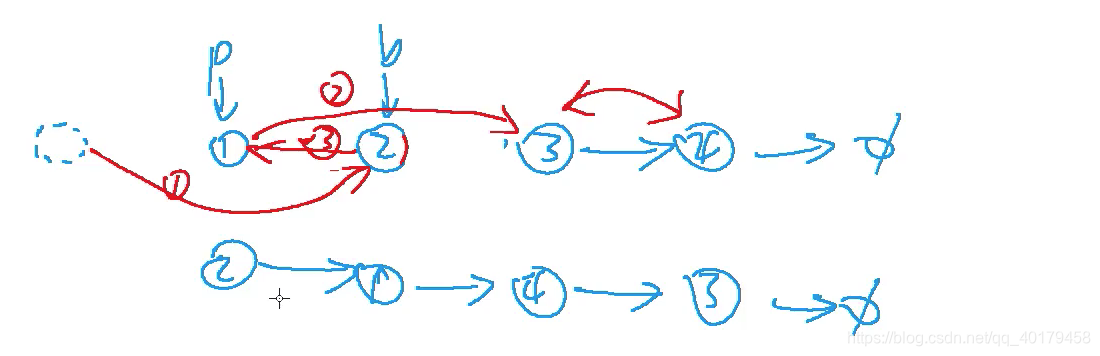
1.头部会改变创建虚拟头结点
2.前两个点定义为a,b,c
3.p指向b,a指向c,b指向a ; p指向本段最后一个结点。

class Solution {
public:ListNode* swapPairs(ListNode* head) {auto dummy = new ListNode(-1);dummy->next = head;for (auto p = dummy; p->next && p->next->next;) {auto a = p->next, b = a->next;p->next = b;a->next = b->next;b->next = a;p = a;}return dummy->next;}
};