题目
饮料换购
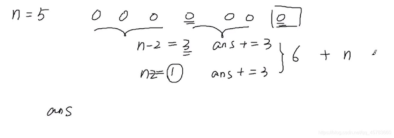
饮料换购乐羊羊饮料厂正在举办一次促销优惠活动。乐羊羊C型饮料,凭3个瓶盖可以再换一瓶C型饮料,并且可以一直循环下去,但不允许赊账。请你计算一下,如果小明不浪费瓶盖,尽量地参加活动,那么,对于他初始买入的n瓶饮料,最后他一共能得到多少瓶饮料。输入:一个整数n,表示开始购买的饮料数量(0<n<10000)
输出:一个整数,表示实际得到的饮料数例如:
用户输入:
100
程序应该输出:
149用户输入:
101
程序应该输出:
151资源约定:
峰值内存消耗(含虚拟机) < 256M
CPU消耗 < 1000ms请严格按要求输出,不要画蛇添足地打印类似:“请您输入...” 的多余内容。所有代码放在同一个源文件中,调试通过后,拷贝提交该源码。
注意:不要使用package语句。不要使用jdk1.7及以上版本的特性。
注意:主类的名字必须是:Main,否则按无效代码处理。
————————————————
版权声明:本文为CSDN博主「公众号-放生改命」的原创文章,遵循CC 4.0 BY-SA版权协议,转载请附上原文出处链接及本声明。
原文链接:https://blog.csdn.net/weixin_44949135/article/details/108123806
思路分析

代码实现
package com.atguigu.lanqiao;import java.util.Scanner;public class Main { // 简单枚举public static void main(String[] args) {Scanner sc = new Scanner(System.in);int n = sc.nextInt();int ans = 0;while (n >= 3) {n -= 2;ans += 3;}ans += n;System.out.println(ans);}}

